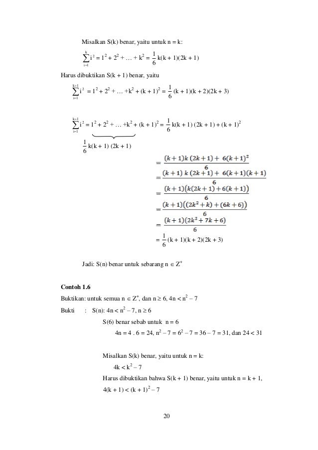
12+22+32++n2 Nn+12n+16 Untuk Setiap Bilangan Asli N

Prove By Pmi That 1 2 2 3 3 4 N N 1 N N 1 N 2 3 N In N Youtube
Osn Projek Teori Bilangan

Contoh Soal Induksi Matematika Dan Jawaban Pembahasan
Contoh Soal Induksi Matematika

Membuktikan Dengan Induksi Matematis Buktikan Bahwa Pernyataan Berikut Bernilai Benar A 1per Brainly Co Id

Contoh Soal Induksi Matematika Habis Dibagi Brainly Kumpulan Soal Pelajaran 5


Induksi Matematika 1 2 2 2 3 2 1 N 1 N 2 0 5 1 N 1 N N 1 Youtube
Induksi Matematika Materi Lengkap Matematika

Misalkan A Dan B Adalah Himpunan Maka
Induksi Matematika Materi Lengkap Matematika

Induksi Matematika 1 3 2 3 3 3 N 3 0 25 N 2 N 1 2 Youtube

Buktikan Bahwa Untuk Setiap Bilangan Asli N Berlaku 1 2 3 N 1per2 N N 1 Brainly Co Id

Membuktikan Dengan Induksi Matematis Youtube

Induksi Matematika 1 2 3 2 3 4 3 4 5 N N 1 N 2 N N 1 N 2 N 3 4 Tolong Dijawab Yaa Brainly Co Id

25 Soal Dan Pembahasan Induksi Matematika Pendidikan Matematika Laman 2

Mathematical Induction Prove That 1 1 2 3 1 2 3 4 N N 3 4 N 1 N 2 Youtube
How To Prove With Mathematical Induction That 1 3 2 3 3 3 N 3 N 2n 1 3 N 1 3 4 Quora

Pengertian Rumus Dan Contoh Soal Induksi Matematika Ruang Les Online

Ex 4 1 8 Prove 1 2 2 22 3 23 N 2n N 1 2n 1 2

Definisi Induksi Matematika Adalah Ppt Download

Ppt Induksi Matematika

Ex 4 1 11 Prove 1 1 2 3 1 2 3 4 1 3 4 5 1 N N 1 N 2

Contoh Soal Induksi Matematika Habis Dibagi Brainly Kumpulan Soal Pelajaran 5

Ex 4 1 5 Prove 1 3 2 32 3 33 N 3n 2n 1 3n 1

25 Soal Dan Pembahasan Induksi Matematika Pendidikan Matematika Laman 2

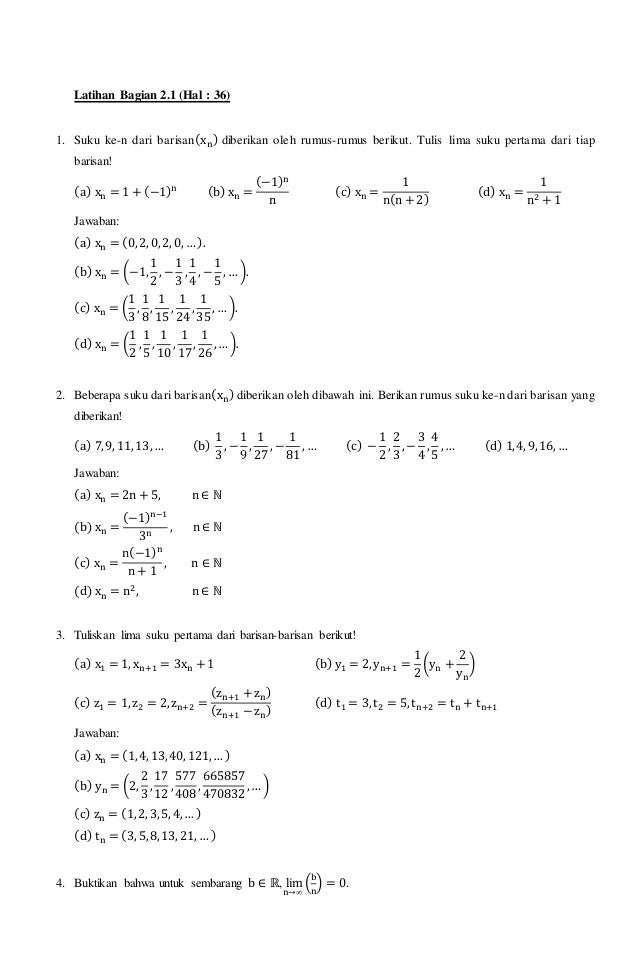
Analisis Real Barisan Bilangan Real Latihan Bagian 2 1

Contoh Soal Induksi Matematika Dan Jawaban Pembahasan

Pdf Bab 1 Induksi Matematika Arie Doc Academia Edu

Proof 1 2 3 N N N 1 2n 1 6 Youtube

Notasi Sigma Barisan Deret Dan Induksi

Fakultas Sains Dan Teknologi Ppt Download

Kelas 11 Sma Matematika Siswa 17 Pages 1 50 Text Version Anyflip

Outline Definisi Prinsip Induksi Sederhana Ppt Download

2 Barisan Bilangan Real

Buktikan Untuk Setiap Bilangan Asli N Lebih Dari Sama Dengan 4 Berlaku 3n Lt 2pangkat N Brainly Co Id

Ppt Induksi Matematika Powerpoint Presentation Free Download Id

25 Soal Dan Pembahasan Induksi Matematika Pendidikan Matematika Laman 2

4n 2n Untuk Semua Bilangan Bulat Positif N 5 Mas Dayat

2 4 6 8 2n N N 1 Untuk Setiap Bilangan Asli N Induksi Matematis Brainly Co Id

Modul 1 Bilangan Bulat

Induksi Matematika

6 18 54 2 3n 3 3n 1 Mas Dayat

Buktikan Bahwa Pernyataan Berikut Bernilai Benar 2 4 6 8 2n N N 1 Untuk Setiap Bilangan Asli Brainly Co Id

Induksi Matematika 1 3 2 3 3 3 N 3 0 25 N 2 N 1 2 Youtube
Induksi Matematika

Bab I Induksi Matematik Induksi Matematik Merupakan Salah

Ex 4 1 17 Prove 1 3 5 1 5 7 1 7 9 1 2n 1 2n 3
Induksi Matematika Materi Lengkap Matematika

Soal Dan Pembahasan Induksi Matematika Sumber Soal Buku Siswa Matematika Sma Kurikulum 13 Defantri Com

25 Soal Dan Pembahasan Induksi Matematika Pendidikan Matematika Laman 7

Induksi Matematika Materi Contoh Soal Pembuktian
Induksi Matematika

Induksi Matematika

Matdis Induksi Matematika

25 Soal Dan Pembahasan Induksi Matematika Pendidikan Matematika Laman 5

Uji Kompetensi 1 1 No 1 Induksi Matematika 11 Sma Halaman 13 Setiap Rumusan P N Tentukan P N 1 Youtube

Buktikan N N 1 N 2 Habis Dibagi 6 Matematika Sup 2 Sup

Buktikan Bahwa 1 2 3 N 1 2 3 N Youtube

25 Soal Dan Pembahasan Induksi Matematika Pendidikan Matematika Laman 2

Bank Soal Olimpiade Matematika

Buktikan Dengan Induksi Matematis Bahwa Pernyataan Berikut Benar 1 2 3 N Brainly Co Id

Induksi Matematika 3 6 12 3 2 N 1 3 2 N 1 Youtube

Teori Bilangan

Contoh Soal Induksi Matematika Dan Jawaban Pembahasan

Doc Kumpulan Soal Jawab Olimpiade Matematikadaripertemuan Berau Putri Utiw Academia Edu

Induksi Matematika Www M4th Lab Net Pdf Induksi Matematika Soal Latihan Induksi Matematika Buktikan Pernyataan Pernyataan Berikut Dengan Induksi Course Hero
Induksimatematika Sumire

Induksi Matematika Ppt Download

Induksi Matematika E Learning Kelas 22 29 Desember Ppt Download
Soal Latihan Induksi Matematika

Contoh Soal Induksi Matematika Habis Dibagi Brainly Kumpulan Soal Pelajaran 5

Kelas 12 Sma Matematika Siswa 17 By Sartono Flip Book Pages 151 0 Pubhtml5
Induksi Matematika Materi Lengkap Matematika

Modul 1 Bilangan Bulat

Barisan Dan Deret Geometri

Modul 1 Bilangan Bulat

2 4 6 8 2n N N 1 Dengan N Bilangan Asli Brainly Co Id

Teori Bilangan

25 Soal Dan Pembahasan Induksi Matematika Pendidikan Matematika Laman 7

Induksi Matematika Prinsip Pembuktian Deret Keterb

2 4 6 8 2n N N 1 Untuk Setiap Bilangan Asli N Induksi Matematis Brainly Co Id

Induksi Matematika Teobil

Lembar Aktivitas Siswa Induksi Matematika Dengan Induksi Matematika Bahwa Untuk Semua N Anggota Bilangan Asli Latihan Soal 1 Buktikan Prinsip Induksi Matematika Masing Masing Pdf Document

Arrini Ditta Margarani

52n 1 Habis Dibagi 5 Mas Dayat

7 Induksi Matematika Ppt Download

1 2 3 N 1 6n N 1 2n 1 Induksi Matematika Brainly Co Id
Latihan Soal

Buktikan Induksi Matematika 2 4 6 2n N N 1 Brainly Co Id

Lembar Aktivitas Siswa Induksi Matematika Dengan Induksi Matematika Bahwa Untuk Semua N Anggota Bilangan Asli Latihan Soal 1 Buktikan Prinsip Induksi Matematika Masing Masing Pdf Document

25 Soal Dan Pembahasan Induksi Matematika Pendidikan Matematika Laman 2

Induksi Matematika Ppt Download

Kelas 12 Sma Matematika Siswa 17 By Sartono Flip Book Pages 151 0 Pubhtml5

Pdf Soal Soal Olimpiade Matematika Dan Penyelesaiannya Ary Brainer Academia Edu

Contoh Soal Induksi Matematika Sederhana

Part I College Mudah Dengan Induksi Matematika Bahwa Untuk Setiap Bilangan Asli N 72n 1 1 Habis Dibagi Pdf Document

Buktikan Bahwa N Pangkat 3 N Habis Dibagi 3 N Lebih Besar Sama Dengan 2 Youtube

Pengertian Rumus Dan Contoh Soal Induksi Matematika Ruang Les Online

25 Soal Dan Pembahasan Induksi Matematika Pendidikan Matematika Laman 2

1 3 2 3 3 3 N 3 1 4n 2 N 1 2 Buktikan Dengan Induksi Matematika Sederhana Bahwa Setiap N Brainly Co Id