Ex2+y2 Double Integral
Area Of A Region Bounded By Curves

Double Integration

Answered In 7 Sovle V 2 Sin 2 E 1 Bartleby

How To Calculate Indefinite Integral Of Math E X 2 Math Quora
5 3 Double Integrals In Polar Coordinates Calculus Volume 3 Openstax

Examples Of Changing The Order Of Integration In Double Integrals Math Insight


Use The Change Of Variables To Evaluate The Double Integral Iint R4 X Y E X Y Da Mathematics Stack Exchange

Double Integration

Solved Double Integrate D X Y E X 2 Y 2dxdy Where D Chegg Com

Answered Let F X Y X E And Let R Be The Bartleby

Btech Ii Engineering Mathematics Unit3

Double Integration
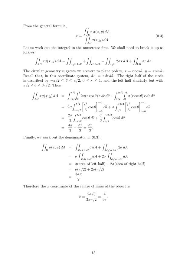
2

How To Integrate Xe X 2 Youtube

Integral Calculator Integrate With Wolfram Alpha

Evaluate The Surface Integral Double Integral F Ds Where F E X Cos Yz X 2 Y Z 2 E 2x And S Is A Part Of Th Homeworklib

Express The Double Integral In Terms Of A Single Integral With Respect To R Then Use Your Calculator To Evaluate The Integral Correct To Four Decimal Places D E X 2 Y 2 2 Da Where D
Multiple Integral Wikipedia

Double Integration
E X 2 Integration By Parts

Solved Evaluate The Double Integral E X 2 Y 2 Da Where Chegg Com

16 2 Line Integrals
5 1 Double Integrals Over Rectangular Regions Calculus Volume 3 Openstax

Evaluate The Given Integral By Changing To Polar Coordinates Double Integral E X 2 Y 2 Da Where D Is The Region That Lies To The Left Of The Y Axis Between The Circles X 2 Y 2
Evaluate The Given Integral By Changing To Polar Coordinates Double Integral Exp X 2 Y 2 Da Where D Is The Region Bounded By The Semicircle X 4 Y 2 1 2 And The Y Axis Homework Help And Answers
What Is The Complete Solution Of Double Integration Of Dx Dy 1 X2 Y2 Quora

Double Integration

Double Integral Examples Math Insight
Solved Use Polar Coordinates To Evaluate The Double Integ Chegg Com
Search Q Gaussian Integral Tbm Isch

Evaluate A Double Integral Over A General Region With Substitution F X Y E X Y Youtube

Btech Ii Engineering Mathematics Unit3

Solved Evaluate The Double Integral Y2da Where R Is The Chegg Com

Solved Evaluate Double Integrate E X 2 Y 2 Dydx Chegg Com

Figure 8 Source And A Rectangular Array Again Evaluation Of The Above Double Integral Does Not

Calculus Iii Double Integrals Over General Regions

Btech Ii Engineering Mathematics Unit3
What Is The Double Integral Of F X Y E X Y When R Is The Area Bounded By Y X 1 Y X 1 Y 1 X Y 1 X How To Find R Enotes

How To Calculate Indefinite Integral Of Math E X 2 Math Quora

Iterated Double Integral Multivariable Calculus Solved Past Paper Docsity

Ex 2 Evaluate A Double Integral Over A Rectangular Region To Find A Volume F X Y Constant Youtube

Double Integration

Double Integration

Solved Evaluate The Integral By Making An Appropriate Cha Chegg Com
Solved Use Polar Coordinates To Evaluate The Double Integ Chegg Com

2 Evaluate The Given Integral By Changing To Pola Chegg Com

Examples Of Changing The Order Of Integration In Double Integrals Math Insight

15 8 Triple Integrals In Spherical Coordinates Mathematics Libretexts
2
Gaussian Integral Wikipedia

Solved Compute The Following Double Integrals Sketch The Chegg Com
Gaussian Integral Wikipedia
2

Example 2 Find Area Enclosed By Ellipse X2 Y2 B2 1
5 1 Double Integrals Over Rectangular Regions Calculus Volume 3 Openstax

Double Integrals Properties

Solved A Using Polar Coordinates Evaluate The Improper Chegg Com

5 Double Integrals Over Rectangular Regions Pdf Free Download

Calculus Iii Double Integrals Over General Regions

Calculate The Double Integral Iint R X Y 2 E X 2 Y 2 Dx Dy Where R Is The Square With Vertices 6 0 0 6 6 0 0 6 Study Com

Evaluating Double Integrals

Double Integration
Kconrad Math Uconn Edu Blurbs Analysis Gaussianintegral Pdf
Q Tbn 3aand9gcqocw8mwvxd4ltijhixpq7mz0bnwwibpi1a8vr6n2gecf Xph4d Usqp Cau

Gaussian Integral Wikipedia
Multiple Integral Wikipedia
What Is The Integration Of E Power Y X With Limits 0 To 2 And 0 To X Quora
2
5 3 Double Integrals In Polar Coordinates Calculus Volume 3 Openstax

Sample Practice Exam 16 Questions And Answers Math 2423 Studocu
How To Integrate X Sqrt X 2 Y 2 With An Order Dxdy Quora

15 8 Triple Integrals In Spherical Coordinates Mathematics Libretexts

Evaluate The Double Integral Of Exp X 2 Y 2 Where The Solid Is The Half Circle Given By X 2 Y 2 4 And X Y 0 Mathematics Stack Exchange
Q Tbn 3aand9gcqzig6iac Hk4dzxiszjubatcbmlvgvarvzz51v8tkvhdaekgkk Usqp Cau

Double Integral Using Polar Coordinates Part 1 Of 3 Youtube

Double Integral Of Y 2 E X 4 Learnmathsfree Youtube
5 2 Double Integrals Over General Regions Calculus Volume 3 Openstax

Average Value Of A Function Of Two Variables Youtube

Double Integral Why Didn T The Author Substitute Y 4 Into X Sqrt Y Mathematics Stack Exchange

Calculus Iii Double Integrals Over General Regions

Calc3 1001 By James Bardo Issuu
5 2 Double Integrals Over General Regions Calculus Volume 3 Openstax

Example 2 Find Area Enclosed By Ellipse X2 Y2 B2 1

Evaluate The Integral Double Integral R E Max X 2 Y 2 Da Where R 0 1 Times 0 1 And Max X 2 Y 2 Gives The Larger Of X 2 And Y 2 Study Com
5 2 Double Integrals Over General Regions Calculus Volume 3 Openstax

Double Integrals Changing Order Of Integration Full Ex Youtube

Btech Ii Engineering Mathematics Unit3

Calc3 1001 By James Bardo Issuu

Btech Ii Engineering Mathematics Unit3
Http Www Math Ntu Edu Tw Cheng Teaching Calculus Ch16 Pdf

Integral Of Exp X 2 Gaussian Integral Trick Youtube
Gaussian Integral Wikipedia

Solved Consider The Improper Double Integral Integral I Chegg Com

Double Integration

Calculus Iii Double Integrals In Polar Coordinates
Solved Consider The Double Integral Integral Integral D X Chegg Com

Definite Improper And Multiple Integration Stack Overflow

Solved Evaluate The Iterated Integral Integral 1 2 Integ Chegg Com

Double Integration
How To Integrate Y 2 X 2 X 2 Y 2 2 Dy Quora
Canvas Harvard Edu Courses 376 Files 54 Download Verifier De5arviftgyjwzvw3gibhrarwdtqtzfkmagbtegv
Solved Evaluate The Double Integral Doubleintegral R E Chegg Com

Calculus Iii Double Integrals Over General Regions

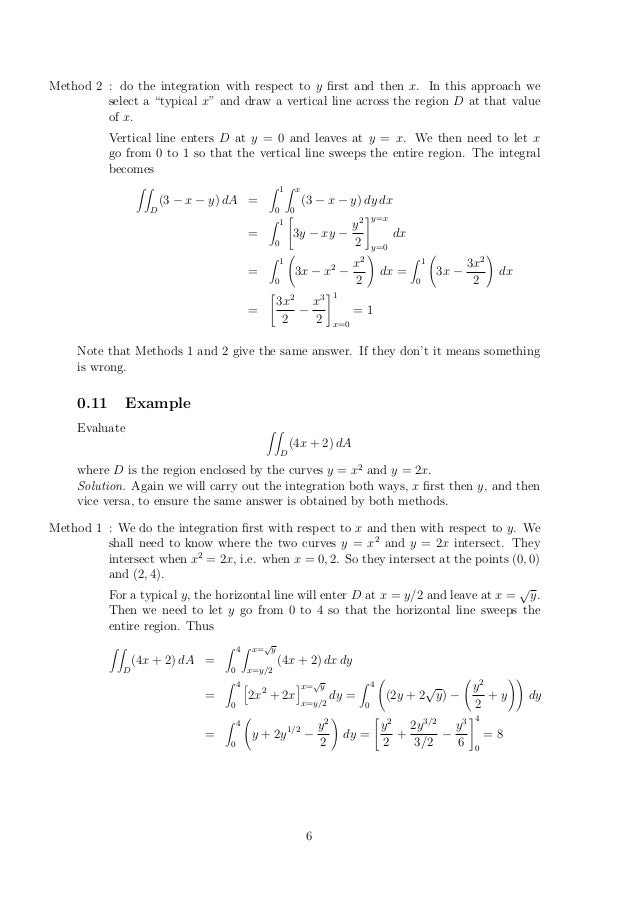
Double Integrals Over Rectangles Iterated Integrals 1 Ex 1 If