Y X2+x21

If Y Log X 1 X2 1 2 Prove That Dy Dx 1 Log X 1 X2 1 2 1 1 X2 1 2 Mathematics Topperlearning Com Qsw6n0xx

Differential Calculus If Y X Sin 1 X 1 X 2 Prove That 1 X 2 Dy Dx X Y X With Steps Brainly In

Integral Of X 1 Sqrt X 2 2x 5 Substitution Youtube

Solving Quadratic Equations By Square Root Method By
Solved Differentiate The Following Functions F X Squa Chegg Com

How To Draw Y 2 X 2


Misc 13 Find Dy Dx If Y Sin 1 X Sin 1 Root 1 X2 Miscellaneous

How To Draw Y 2 X 2

Is There A Solution For X For X 2 Y Sqrt 3 X 2 2 1 Mathematics Stack Exchange

Surfaces Part 2
What Is The Domain And Range Of X 2 1 X 2 Quora

Inverse Of Square Root Function Chilimath

Implicit Differentiation

Finding Volume Of Solid Under Z Sqrt 1 X 2 Y 2 Above The Region Bounded By X 2 Y 2 Y 0 Mathematics Stack Exchange
Find The Area Enclosed By The Curve Y X2 And The Straight Line X Y 2 0 Studyrankersonline
Q Tbn 3aand9gcrtbcsrju 6 Bwyczq8y6nyiwunrzonlofcpgfgavyc3yt8jjpk Usqp Cau

The Volume For Solids With Known Cross Sections

Solved Evaluate Double Integral D Xy Da Where D Is The R Chegg Com
What Is The Graph Of X 2 Y 3 X 2 2 1 Quora
Www Math Ucla Edu Mt 131a 1 02s 131a Hw Sol Pdf

How Do You Find The Volume Of The Solid Obtained By Rotating The Region Bounded By Y Sqrt X 1 Y 0 X 5 Rotated About Y 7 Socratic

Area Between A Curve And The 𝘺 Axis Video Khan Academy

Derivadas Ejercicos 1
.jpg)
Ex 5 3 14 Find Dy Dx In Y Sin 1 2x Root 1 X2 Cbse
Solve The Differential Equation X2 1 Dy Dx 2xy 1 X2 1 Studyrankersonline

Ex 5 3 15 Find Dy Dx In Y Sec 1 1 2x2 1 Chapter 5
Canvas Harvard Edu Courses 376 Files 54 Download Verifier De5arviftgyjwzvw3gibhrarwdtqtzfkmagbtegv
What Is The Differentiation Of Y 1 X 2 X 1 Y 2 1 Wrt X Quora

Ex 9 4 12 Find Particular Solution X X2 1 Dy Dx 1 Y 0

Graphing Square Root Functions

How Do You Find The Volume Of The Region Enclosed By The Curves Y 2x Y X 2 Rotated About The X Axis Socratic

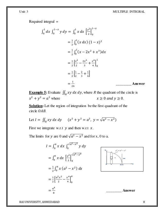
Btech Ii Engineering Mathematics Unit3

Implicit Differentiation Advanced Example Video Khan Academy
Find Dy Dx If Y Xtanx X2 1 2 Studyrankersonline

Y Log X Root 1 X2 Prove That 1 X2 D2y Dx2 X Dy Dx 0 Brainly In

Algebra Calculator Tutorial Mathpapa

Implicit Differentiation
Curve Sketching

Find Domain And Range Of Function Y Sqrt 1 X 2 Youtube

Ex 2 2 5 Simplify Tan 1 Root 1 X2 1 X Chapter 2

Implicit Differentiation

Ex 1 3 8 F X X2 4 Show That F Is Invertible Chapter 1

Ml Aggarwal Solutions For Class 10 Chapter 5 Quadratic Equations In One Variable Free Pdf Available
What Is The Graph Of X 2 Y 3 X 2 2 1 Quora

Solving Equations Graphically

Finding Inverse Functions Quadratic Example 2 Video Khan Academy
How To Get The Special Solution Of This Differential Equation Y Xdy Dx 2 1 X 2 Dy Dx Where X 1 Y 1 Quora

Calculus Early Transcendentals 11th Edition Anton Solutions Manual

Solutions To Implicit Differentiation Problems

Ex 5 3 15 Find Dy Dx In Y Sec 1 1 2x2 1 Chapter 5
Q Tbn 3aand9gctnseginrpltgl2xbyrfua9e Aby9odrmv8qjfdnullm0ccvevs Usqp Cau

1 If Y Sqrt X 2 1 Log 1 X Sqrt 1 1 X 2 Find Dy Dx 2 Find The Equation Of Tangent To The Curve Y Sqrt 4x 2 Which

Wolfram Alpha Examples Step By Step Solutions
Curve Sketching
Search Q X 5e2 2by 5e2 Factor Tbm Isch
How To Find Dy Dx Of The Function Y X 1 X 2 X 1 2 Quora
If Y X 2 1 Log 1 X 1 1 X 2 Find Dy Dx Sarthaks Econnect Largest Online Education Community

If Y 1 M Y 1 M 2x Show That X2 1 Y2 Xy1 M2 Y Mathematics Topperlearning Com 31vqi0ff

Multivariable Calculus Limit Of Y 2 X 2 Y 2 As X Y Approaches 0 0 Youtube
What Is The Derivative Of Log X 1 X Quora

If X 7 4 Root 3 And Xy 1 Then 1 X Square 1 Y Square Brainly In

Ex 5 5 16 Find Derivative Of F X 1 X 1 X2 1 X4 1 X8

14 1 Functions Of Several Variables Mathematics Libretexts

Integral Of X 3 Sqrt X 2 1 Substitution Youtube
If Y X Cos 1 X 1 X 2 Log 1 X 2 Then Prove That Dy Dx Cos 1 X 1 X 2 3 2 Sarthaks Econnect Largest Online Education Community

How To Draw Y 2 X 2

Y Tan 1 Sqrt 1 X 2 Sqrt 1 X 2 Sqrt 1 X 2 Sqrt 1 X 2 W H E R E 1 Ltx Lt1 X 0 Youtube

Solved Integrate F X Y X Over The Region In The Firs Chegg Com

If Y Log X Root X2 1 Then Prove That X2 1 Dy Dx X Dy Dx 0 Brainly In
Pdf4pro Com File Doprea Final Practice Sol Pdf Pdf

Ex 9 5 6 Solve Differential Equation X Dy Y Dx Root X2 Y2 Dx

Graphing Types Of Functions

How Do You Find The Volume Of Region Bounded By Graphs Of Y X 2 And Y Sqrt X About The X Axis Socratic

Ex 5 7 17 If Y Tan 1 X 2 Show X2 1 Y2 2x X2 1

Example 11 Show F X X2 Is Neither One One Nor Onto Examples

Btech Ii Engineering Mathematics Unit3
Www3 Nd Edu Apilking Math Work Old exams Exam1f13 Solution Pdf
Solved Given The Functions F X X 2 1 And G X 3 Chegg Com
What Is The Second Derivative Of Log X X 2 1 1 2 Quora

Find The Area Of The Surface Obtained By Rotating The Curve Y X2 1 X 2 About The Y Axis Youtube

Sketch The Region Enclosed By The Curves Y 2 2x 6 And Y X 1 And Find The Area Youtube

Integral Of X 2 Sqrt 1 X 2 Substitution Youtube

How To Integrate 1 Sqrt X 2 1 Youtube
If Y Sin 1x 2 Then Show That 1 X2 D2ydx2 X Dydx 2
Q Tbn 3aand9gcq4zhplghugito8e7mve Khoq5cy9n4ipaohfx0z0w Usqp Cau
What Is The Graph Of X 2 Y 3 X 2 2 1 Quora
Www Utdallas Edu Efrom Solhw Pdf

Differentiate Tan 1 1 X2 1 2 1 X Wrt Sin 1 2x 1 X2 Explain In Great Detail Mathematics Topperlearning Com Yx862gdd
How To Draw The Graph Of X Y X 1 Quora

If Y Xcot X 2x2 3 X2 X 2 Find Dy Dx Mention Each And Every Step Mathematics Topperlearning Com Palrsebb
X2 1 2 X2 0 Has Studyrankersonline
How Do You Find The Area Between The Curves Y 4x X 2 And Y X Socratic

Plotting X 2 Y 2 1 3 X 2 Y 3 0 Mathematics Stack Exchange

Logarithmic Differentiation X 3 4 Sqrt X 2 1 2x 1 3 Youtube

If Y X X2 1 1 2 M Then Show That X2 1 D2y Dx2 X Dy Dx M2y 0 Mathematics Topperlearning Com 6jd9kell

How To Draw Y 2 X 2
If Math Sqrt 1 X 2 Sqrt 1 Y 2 A X Y Math How Can I Prove Math Frac Mathrm D Y Mathrm D X Sqrt Frac 1 Y 2 1 X 2 Math Quora

X 1 Y 2 Dx Y 1 X 2 Dy 0 Youtube

If X 1 Root2 Find The Value X2 1 X2 Brainly In
What Is The Graph Of X 2 Y 3 X 2 2 1 Quora

Slope Of A Curve At A Point Calculus Socratic

Find The Domain Range Of F X 1 9 X 2 Brainly In
If X 3 8 Then How Do I Find The Value Of X 1 X Quora
Is Y Sqrt X 2 1 A Function Quora