If Fxlog1+x1 X Then Fa+fb Is Equal To
If F X Ax B Where A And B Are Integers F 1 5 And F 3 3 Then A And B Are Equal To Studyrankersonline
Solved If A Not Equal To B And 1 X 1 A 1 B Then X Chegg Com

Ex 1 2 2 Check Injectivity And Surjectivity Of I F X X 2

Free Math Answers Answers Within 24 Hours Step By Step Explanations
Www3 Nd Edu Apilking Math Lectures Lecture 4 limit laws Pdf

5 Let F R R Be Defined By F X 2x X Then F 2x F X F X A 2x B 21 X C 2x D 21x

Derivative Of The Natural Logarithm

If F X Sin Log X And Y F 2x 3 3 2x Then Dy Dx Equa

Calculus Early Transcendentals 11th Edition Anton Solutions Manual

Solving The Derivative Of Ln X Video Lesson Transcript Study Com

4 Ways To Find The Range Of A Function Wikihow

Sage Calculus Tutorial Continuity
If F X Sinxcosxdx 1 2 B 2 A 2 Log F X C Then F X A 1 A 2sin 2x B 2cos 2x Sarthaks Econnect Largest Online Education Community

Finding Inverse Functions Linear Video Khan Academy

101 Questions With Answers In Pure Mathematics Science Topic
Increasing And Decreasing Functions
Inverse Function Wikipedia

Example 16 Let F X X2 And G X 2x 1 Find F G Fg F G
Http Www Stat Wisc Edu Ifischer Calculus Pdf

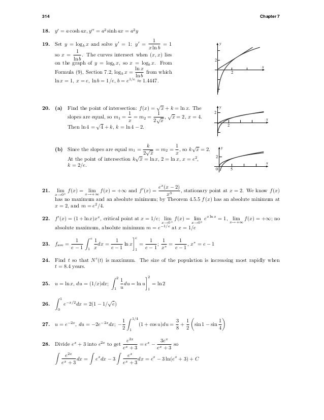
Math Scene Equations Iii Lesson 3 Quadratic Equations
F X G X
Solved 3018 24 Which Function Produces The Graph Below Chegg Com

Content Newton S Method

18 If F X Log 1 X 1 X Then F A F B Equal To B F Ab

If F X Log 2 1 X 1 X Then F 2x 1 X 2 Is Equal T

Finding Inverse Functions Linear Video Khan Academy

Natural Logarithm Rules Ln X Rules

If F X 2x 3 G X X 3 5 Then Find Fog And Show That Fog Is
2
Q Tbn 3aand9gcs0ob6eghcq0lkulg6mc7xhfg2ya26g9yjyr0kaugmyx G1i7z2 Usqp Cau

Solved 1 Given The Functions F X 7 1 And G X 3 2 Chegg Com

If F X Alog X B X 2 X Has Extreme Values At X 1 And At X 2 Then Find A And B Youtube

Greatest Integer Function Geeksforgeeks

Math Scene Equations Iii Lesson 3 Quadratic Equations

Ex 1 3 13 F X 3 X3 1 3 Then Fof X Is A X1 3

If Both X 2 And X 1 2 Are Factors Of Px 5x R Show That P R Brainly In

P If F X Log Frac 1 X
5 Derivative Of The Logarithmic Function
Given F X And G X Please Find Fog X And Gof X F X 2x G X X 3 Enotes

5 Derivative Of The Logarithmic Function

Solved 4 The Zeros Of A Function G X Appear On The Grap Chegg Com

If F X Log E Left X Sqrt 1 X 2 Right Then F 1 X Equals N A Log Left X Sqrt 1 X 2 Right B Frac E X E X 2

Example 11 Show F X X2 Is Neither One One Nor Onto Examples

34 If F X 1 X Sqrt X 2 1 And F 0 1 Sqrt 2 2 The
2

23 If F X Cos Log X Then F X F Fx Y F X Y Is Equal To B F X Fc C F X Y D None Of These A 0
Www Manhassetschools Org Cms Lib Ny Centricity Domain 217 11h cw 74 77 answer key Pdf

Discontinuity Calculator Wolfram Alpha

Composition Of Functions Composing Functions With Functions

Free Math Answers Answers Within 24 Hours Step By Step Explanations

Parent Functions And Transformations She Loves Math
Natural Logarithm Wikipedia
Http Www Cee Kerala Org Docs Question Keam Pap Two Four Pdf
How To Find The Domain Of A Square Root Function

Functions Algebra Mathematics A Level Revision

Inverse Of Logarithmic Function Chilimath

Greatest Integer Function Geeksforgeeks
Convex Functions

Derivatives Of Inverse Functions From Equation Video Khan Academy
Let G X Log F X Where F X Is A Twice Differentiable Positive Function On 0 Sarthaks Econnect Largest Online Education Community
Q Tbn 3aand9gctbfgvh5g5c367wp1qklhbuglyhuhins6ary10wx50 U5uaaid6 Usqp Cau

Math Scene Equations Iii Lesson 3 Quadratic Equations

Exponential And Logarithmic Functions Logarithmic Functions Sparknotes
2
2

Find The Domain Of The Given Function 1 Logx Brainly In

Free Math Answers Answers Within 24 Hours Step By Step Explanations
What Is The Expansion Of Log 1 X Quora
2
2

Example 23 Let F X 4x 3 Where F N Y Show F Is Invertible
Taylor Series Wikipedia
Math Mit Edu Jorloff 18 04 Notes Topic2 Pdf

Bisection Method

Use The Graph Of A Function To Graph Its Inverse College Algebra
5 Derivative Of The Logarithmic Function

If F X Log 1 X 1 X A N Dt H E Nf 2x 1 X 2 Is Equal To F X 2 B F X 3 Youtube
Www Math Ucdavis Edu Hunter Intro Analysis Pdf Ch7 Pdf

Continuity Over An Interval Video Khan Academy
Q Tbn 3aand9gcqvbanfie7wl8pkvg63jkhd4czliesflnvn Blckbvsfhoym0 3 Usqp Cau

Chapter 1 Maths 3
2

If F X 2 1 X For X Is Not Equals To 0 F X 3 For X 0 Then Discuss Continuity Of F X B C D Lim Math Continuity And Differentiability Meritnation Com

Even And Odd Functions Equations Video Khan Academy

Sage Calculus Tutorial Continuity

Polynomial Functions
Increasing And Decreasing Functions

4 If F X Sin E X 2 1 Log X 1 Then Lim X Rarr2 F X Is

Log Rules Logarithm Rules

If 1 X 2 1 X 3 And 1 X 5 Are In Ap Find The Value Of X Brainly In

Exponential And Logarithmic Functions And Equations Ppt Download

If F X Log 1 X 1 X A N Dg X 3x X 3 1 3x 2 Then F G X Is Equal To F 3x Youtube

Domain And Range Of Exponential And Logarithmic Functions

Inverse Of Logarithmic Function Chilimath
What Is The Derivative Of 1 X Quora

Composition Of Function Chilimath
Natural Logarithm Wikipedia

One To One Functions

Converting Between Logarithmic And Exponential Form College Algebra
What Is The Domain And Range Of X 2 1 X 2 Quora
Http Www Stat Wisc Edu Ifischer Calculus Pdf

Logarithms Find The Inverse Function For Each Of The Functions Below 1 F X 3x F X 2 X Ppt Download

Solution Manual Chapter 07 Exponential Logarithmic And Inverse T

Ex 5 2 9 Prove That F X X 1 Is Not Differentiable