Sum Of 1+2+3++n

Solved Evaluate The Sum Of The Following Series Sigma 10 Chegg Com
Is It True That The Sum Of All Natural Numbers Is 1 12 Quora

Find The Sum Of The Series Whose Nth Term Is 3n 2 3n 2 Brainly In
Http S3 Ap Southeast 1 Amazonaws Com Subscriber Images Cbse 16 10 Some Special Series Pdf

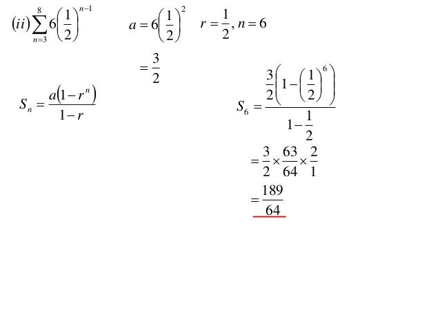
Sequences And Series Practice Worksheet 1 What Is The Sum Of

C Exercises Calculate The Sum Of The Series 1 1 2 2 3 3 4 4 5 5 N N W3resource
Lirias Kuleuven Be Retrieve
Q How Does 1 2 3 4 5 1 12 Make Any Sense Ask A Mathematician Ask A Physicist
2

E The Series S 1 34 2 N A Converges Conditionally B Diverges By The Nth Term Test C Converges Absolutely D Converges By Limit Comparison Test F The Sum Of The Series 2 3 34

C Program To Print Sum Of Series 1 1 1 2 1 3 1 N Quick Solution
The Sum Of The First N Terms Of An Arithmetic Progression Is N 2 3n How To Show That The Terms Of The Series Are In Arithmetic Progression Quora

Ex 9 4 1 Find Sum Of Series 1 X 2 2 X 3 3 X 4 Ex 9 4

Infinite Series
Ft8ihh5n6v7ckm

Find The Sum Of The Series 2n2 3n 5 To N Terms Mathematics Topperlearning Com Gdsw8eo66

Find Sum 3 1 2 5 2 2 7

Telescoping Sum Of Powers Mathematics Stack Exchange

Httprover S 2nd Blog Sum Of 1 2 3 N

Sum To N Terms 1 2 2 2 3 2 3 4 2 Youtube
Prove That The Sum From 1 To Of 2 3n 1 3 Stumbling Robot

The Sum Of N Terms Of The Series 5 1 2 1 3 7 2 3 1 3 2 9 3 4 1 3
Find The Sum Of N Terms Of The Series 4 1 N 4 2 N 4 3 N Sarthaks Econnect Largest Online Education Community
Q Tbn 3aand9gcqywu 1isbzaj9bpfvggokku0mxkjclgaaj4cvxxaa2hsl I963 Usqp Cau

Misc 25 Find Sum Of 13 1 13 23 1 3 Chapter 9 Class 11

Find Sum Of The Series 1 22 333 4444 Upto N Terms Geeksforgeeks

Sideway Bick Blog On 18 05 From Sideway To

Sum Of Arithmetic Series

Find The Sum To N Terms Of The Series 1 2 3 2 3 4 3 4 5 Mathematics Shaalaa Com

Solved The Nth Partial Sum And The Convergence Behaviour Chegg Com

How To Derive N 1 2 From 1 2 3 N N Quora

Sideway Bick Blog On 18 05 From Sideway To

Sum Of N Terms Of Series

Find The Sum Of The Series Sum N 1 Infty Frac 3n 2 N Mathematics Stack Exchange

Find The Sum Of The Following Series Up To N Terms 1 3 1 1 3 2 3 1 3 1 3 2 3 3 3 1 3 5 Mathematics Shaalaa Com
Knoxschools Instructure Com Files Download Download Frd 1 Verifier Npxghpyabpt076j4hhkhbpfczp25qbluvnnm42kg

4 1 N 4 2 N 4 3 N Upto N Terms Find The Sum Of This Ap Mathematics Topperlearning Com
Prove That The Sum From 1 To Of 2n 3n 6n 3 2 Stumbling Robot

Sums Sumatorias

Example Find Sum To N Terms Of Series Nth Term Is N N 3
Q Tbn 3aand9gcrnugm3uscdv4mzdta0jx63vu8sszgw O69etymhkywfknhshij Usqp Cau

Induction Mathematics For Computer Science Lecture Slides Docsity
Q Tbn 3aand9gctp1xf1tv5pud0rhtazvtycrfeyrmmgwriqoijoxzurpr1b6ya Usqp Cau

11 X1 T14 06 Sum Of A Geometric Series 13
Http Math Hawaii Edu Home Pdf Putnam Olympiadproblems Pdf

Find The Sum Of Series 3 7 13 21 31 Geeksforgeeks

Infinite Series
Squared Triangular Number Wikipedia

The Sum Of N Terms Of The Series 5 1 2 1 3 7 2 3 1 3 2 9 3 4 1 3

Find The Sum To N Terms Of The Series 1 2 2 2 3 2 4 2 5 2 6 2 Math Sequences And Series Meritnation Com

Sum Of N Squares Part 1 Video Khan Academy

C Programming Calculate Sum 1 2 3 N

Rd Sharma Solutions For Class 11 Chapter 21 Some Special Series Download Free Pdf Available

Calameo Series Y Sucuencias

If The Sum Of The First N Terms Of An A P Is 1 2 3n 2 7n Then Find Its Nth Term Hence Wr Youtube

Sideway Bick Blog On 18 05 From Sideway To

Number Sequences Lecture 7 Sep 29 Overhang This Lecture We Will Study Some Simple Number Sequences And Their Properties The Topics Include Representation Ppt Download

Geneseo Math 222 01 Absolute Convergence

Can Someone Tell Me If This Sum Has A Name Math

View Question Use The Formula S N 1 2 To Find The Sum Of 1 2 3 780

Assignment 4 Sum Of Arithmetic Series
Q Tbn 3aand9gcq Tmftumer17bygo3e9h 7 Qscqrnw5niqrv Fr0rrgyg8v573 Usqp Cau

Convergence Of Sum N 1 Infty Frac K 2 K 2 2k 5 Sum N 1 Infty Frac 6 Cdot 2 2n 1 3 N And Sum N 1 Infty Frac 2 N 4 N E N Mathematics Stack Exchange

Find The Sum To N Terms 1 2 3 2 5 2 Youtube

The Sum Of The First N Natural Numbers And Other Sums Fun With Num3ers

Sum Of The Series 1 1 2 2 3 3 4 4 5 5 N N Using Recursion The Coding Bot

Find Sum Of Series 1 2 2 2 3 2 4 2 Upto N Terms Geeksforgeeks
All C Programs Program 180 Sum Of Series 1 1 2 2 3 3 4 4 1 N

Find The Sum To N Terms Of The Series 1 5 12 22 35

Python Program To Find Sum Of Series 1 1 2 2 3 3 1 N Tuts Make
Find The Sum To N Terms Of The Series 1 2 3 2 3 4 3 4 5 Sarthaks Econnect Largest Online Education Community
Sum Of N N Or N Brilliant Math Science Wiki

Pdf Sum Of The Squares Of The First N Natural Numbers Renato Borseti Academia Edu
How To Find The Sum Of This Series 1 1 2 1 2 3 Upto N Terms Quora

Answered 2 3 2n 1 3 N 0 Find The Sum Of The Bartleby

C Exercises Calculate The Series 1 1 2 1 2 3 1 2 3 4 1 2 3 4 N W3resource

Solved 8 The Sum Of The Series Summation N 1 To Infini Chegg Com
Riemann Zeta Function Wikipedia

C Program To Find The Sum Of Series 1 4 2 4 3 4 N 4 Stack Overflow

C Program To Find Sum Of Series 1 2 3 N

In Showing Integer Sum 1 2 3 N By L Hopital Rule Why They Take Lim As R Approaches To 1 In One Of Steps Why 1 Mathematics Stack Exchange
Algorithms Flowcharts Flowchart To Find Sum Of The Series 1 3 5 7 Upto N Terms

Sum To N Terms 1 N 2 N 1 3 N 2 Youtube

Q Tbn 3aand9gctdzmwtc Irrawckhaapszbwazkzehrcellyq Usqp Cau

Natural Numbers Series 9 9 Sideway Output To

Python Program To Calculate Sum Of Series 1 2 3 N

Example 1 Find Partial Sums Solution S 1 1 2 0 5 S 2 S 3 Find And Graph The Partial Sums S N For N 1 Ppt Download

Answered In Exercises 1 6 Find A Formula For Bartleby

Ppt Sum Of The First N Numbers Powerpoint Presentation Free Download Id

Find The Sum Of N Terms Of The Series 1 2 1 2 2 2 1 2 2 2 Scholr

Find The Sum Of N Term Of Series 1 1 322 423
1
Http Georgeballinger Ca Math126 Lognfactorial Pdf

Solved Evaluate The Sum Of The Following Series I Sigm Chegg Com
Sum Of N N Or N Brilliant Math Science Wiki

Sequences And Series Exercise 9 4 Class Xi Breath Math

Find Sum 1 1 2 1 2 3 1 3 4

If The Nth Partial Sum Of A Series N 1 An Is Sn 3 N2 N Find An And N 1 An Homework Help And Answers Slader

C Program To Find Sum Of Series 1 2 3 4 N Quick Solution
C Program To Find Sum Of Series 1 2 3 N The Crazy Programmer

1st Puc Maths Question Bank Chapter 9 Sequences And Series Kseeb Solutions

Notes On Topics Of Algebra Notes
Solved Determine If Sigma Infinity N 1 2n 3n 1 Is Conve Chegg Com

Sequences Series