Nn+1n+26 Formula
Partition Function Number Theory Wikipedia

Python Program For Sum Of Squares Of First N Natural Numbers Geeksforgeeks

Solved Use Mathematical Induction To Prove The Following Chegg Com
Formula List Sphere Fraction Mathematics

May A Word By Used In Its Own Definition Generally The Answer Is No However In Definition 21 12 We Defined The Fibonacci Number As The Sequence Math F 0 F 1 F 2 Math By Setting Math F 0 1 F 1 1 Math And

Solved The Formula 1 2 3 N N N 1 2 Is True For All Chegg Com
Find A Tutor.

Nn+1n+26 formula. It would only find Rational Roots that is numbers n which can be expressed as the quotient of two integers. A monotonic path is one which starts in the lower left corner, finishes in the. If observed closely, we can see that, if we take n common, series turns into an Harmonic Progression.
C n is the number of non-isomorphic ordered trees with n + 1 vertices. 1) show that the formula works for n=1:. 1 + 2 + 3 +.
If you don't "stay", then you flip another card. S 1 is found by substituting n=1 into the formula for the n th partial sum, S n. M+1=-2(n+6) Write a formula for h(n)= See answers (1) Ask for details ;.
A visual proof that 1+2+3++n = n(n+1)/2 We can visualize the sum 1+2+3++n as a triangle of dots. As I know the formula for adding 1,2,3…n is given by n(n+1)/2 Comparing to above formula if we want to calculate sum up to n-1 , using the above formula we get n-1(n-1+1)/2 That is n(n-1)/2 Thus the required formula is n(n-1)/2. # rArr S_n=n/6(n+1)(2n+1).# Enjoy Maths.!.
Having done this, you can generalize the pairing procedure to get the formula for any arithmetic series. What is the lewis structure for co2?. The rules of the game:.
Tap for more steps. 09/14/02 at 10:33:49 From:. Since both terms are perfect squares, factor using the difference of squares formula, where and.
3.3 Find roots (zeroes) of :. If you "stay", you get that card's value. Given a number x and n, the task is to find the sum of the below series of x till n terms:.
Get an answer for 'Solve for n if C(n+2,4)=6C(n,2)' and find homework help for other Math questions at eNotes. But 49+1 = 50 which s(50) = 5, while 94+1 = 95 which s(95) = 14.So if you were only given that the sum of digits of n is 13, you have at least two different possible answers for the sum of the digits of n+1.You need some additional information about n. The nth partial sum is given by a simple formula:.
Thus, if you have a suspected tetrahedral number k, and you compute n 0 = ⌊ 6 k 3 ⌋ you will have a pretty good guess as to which index you need to check to confirm or refute your suspicions. And so the domain of this function is really all positive integers - N has to be a positive integer. "Suppose P(N) is true for all natural N".
I realise that I can enter 1 to N in as many cells then use SUM but this won't do for what I need to achieve. 0.0 0 votes 0 votes Rate!. Again, choose to "stay" (and keep the 2nd card's value) or flip the final card and keep the final card's value.
Find the LCD of the terms in the equation. Solve for n 6(n-1)=2(n+1) Simplify. The formula is actually Σi^2= (n)(n+1)(2n+1)/6.
A 1 is the first term on the left or you can find it by substituting n=1 into the formula for the general term, a n. + n = (n(n+1))/2 Step. = (n+1) / (n+2) because we can cancel the common (n+1) factor from the numerator and denominator.
Want to see this answer and more?. Solutions are written by subject experts who are available 24/7. The first uses "" notation and the second introduces you to the Sigma notation which makes the proof more precise.
The sum of the r st. 12 + 22 + 32 + + k2 = k(k + 1)(2k + 1) 6;. NX+1 i=1 i2 = (n+1)((n+1)+1)(2(n+1)+1) 6:.
12 + 22 + 32 + + n2 = n(n+ 1)(2n+ 1) 6 Proof:. {\displaystyle \sum _{k=1}^{n}k={\frac {n(n+1)}{2}}.} This equation was known to the Pythagoreans as early as the sixth century BCE. $ \sum_{n=1}^\infty\frac{6}{n(n+1)(n+2)}=\frac32 $ The tetrahedron with basic length 4 (summing up to ) can be looked at as the 3-dimensional analogue of the tetractys, the 4th triangular number (summing up to 10).
(the given statement)\ Let P(n):. The first is a visual one involving only the formula for the area of a rectangle. Useful Finite Summation Identities (a 6= 1) k=0 ak = 1 an+1 1 a k=0 kak = a (1 a)2 1 (n+1)an +nan+1 k=0 k2ak = a (1 a)3 (1+a) (n+1)2an +(2n2 +2n 1)an+1 n2an+2 k=0 k = n(n+1) 2 k=0 k2 = n(n+1)(2n+1) 6 k=0 k3 = n2(n+1)2 4 k=0 k4 = n 30 (n+1)(2n+1)(3n2 +3n 1) Useful Innite Summation Identities (jaj < 1) X1 k=0 ak = 1 1 a.
2 / (n * (n + 2)) = A/n + B/(n + 2) A * (n + 2) + B * n = 0n + 2. Apply the distributive property. (An ordered tree is a rooted tree in which the children of each vertex are given a fixed left-to-right order.) C n is the number of monotonic lattice paths along the edges of a grid with n × n square cells, which do not pass above the diagonal.
This means that the series {eq}\displaystyle \sum^\infty_{n=1} \frac{9}{n(n+1)(n+2)} {/eq} is also converging. Is there a formula for sn = a0+a1+a2++an if an = 1/n(n+1)(n+2) or an = 1 / n * (n+1) * (n+2) Yes, there is. Free series convergence calculator - test infinite series for convergence step-by-step.
I'm going to define a function S of n and I'm going to define it as the sum of all positive integers including N. 6=2¢3, 12=3¢4, =4¢5, and 30=5¢6. (n + 1) 2 + n s 3, n = 1 4 n 4 + 1 2 n 3 + 3 4 n 2 + 1 4 n − 1 2 n 2 − 1 2 n + 1 4 n s 3, n = 1 4 n 4 + 1 2 n 3 + 1 4 n 2 = n 2 (n + 1) 2 4.
Tap for more steps. You're aiming to prove P(N) => P(N+1), so you should assume P(N) is true for some N. \begin{aligned} 4s_{3,n} &= n^4 + 6 \frac{n(n+1)(2n+1)}6 - 4 \frac{n(n+1)}2 + n.
How do I determine the molecular shape of a molecule?. That makes no sense. You flip one card.
F(n) = n 3-3n 2 +2n-336 Polynomial Roots Calculator is a set of methods aimed at finding values of n for which F(n)=0 Rational Roots Test is one of the above mentioned tools. (Just be sure to start the summation at 1 to avoid division by 0.). Assuming the statement is true for n = k:.
X = 5, n = 2 Output:. When n = 1, we have:. S_n = 1.2.3 + 2.3.4+ 3.4.5 +.
To establish the pattern for all values of n, we must. Apply the distributive property. Find A Formula For 0x1x2+1x2x3+2x3x4++n(n+1)(n+2) For All N In N And Prove It.
Move all terms containing to the left side of the equation. Follow Report Log in to add a comment Answer 1. 04/21/98 at 15:05:43 From:.
It is a perfect square. Get hold of all the important DSA concepts with the DSA Self Paced Course at a student-friendly price and become industry ready. Lets denote the sum of digits of a number n is s(n).
= 1/(1*2*3) = 1/6. Tap for more steps. Solution for n+1 a, =(-1)" n+2 1.
Subtract from both sides of the equation. Don’t stop learning now. The Factor Theorem states that if P/Q is root of a polynomial then this polynomial can be divided by q*x-p Note that q and p originate from P/Q reduced to its lowest terms In our case this means that n 4 +10n 3 +35n 2 +50n-336 can be divided by 2 different polynomials,including by n-2.
1/(1*2*3) + 1/(2*3*4) +. It's not an integral. If playback doesn't begin shortly, try restarting your device.
Videos you watch may be added to the TV's. Polynomial Long Division :. 1 + 3 + 6 + 10 + 15.
And that's why the formula works. (which means "that which was to be proven", in other words:. + 1/(n*(n+1)*(n+2)) = (n(n+3))/(4*(n+1)*(n+2)) for all positive integer n.
∑ k = 1 n k = n ( n + 1 ) 2. A 1 = 1 rhs:. Tap for more steps.
If n = 1, the right hand side is equal to 2*1 = 2 and the left hand side is equal to 1^1 + 1 = 1 + 1 = 2 Assume that the relation holds for any. If you assume it for all N, then you beg the question. Solve for n 2/(n-1)+1/(n+1)=4/(n^2-1) Factor each term.
To summarize, we have that the equality holds for n = 1, and we have that if the equality holds for some n, then it holds for n+1:. You have 3 cards, each labeled n, n+1, n+2 and you don't know n. Each of these pairs adds up to 301, which is n+1.
In Exercises 1-15 use mathematical induction to establish the formula for n 1. Finding n(n-1)/2 in the Real World Date:. دلقه Find the recursion formula if the power series is used to solve y*+4y'=x 4 an A) an+2= B) an+2 = (n+2)(n+1) 42-1 (n+1)(n) - 4 an+1 (n+2)(n+1) C) an+2= D) an+2= (n)(n+1) BO co DO.
So, we will find the partial sum to five. For math, science, nutrition, history. Niccherip5 learned from this answer Answer:.
How is vsepr used to classify molecules?. For n = 1, the statement reduces to 12 = 1 2 3 6 and is obviously true. You are right about the other formula:.
And there are 150 such pairs, which is n/2. Noting the values of n to which the factorizations correspond, we make our conjecture:. Σi^2 ( I=1 to 1)= 1^2=1.
X = 5, n = 4 Output:. You usually prove these inductively. Ex 4.1, 1 Important Not in Syllabus - CBSE Exams 21 Ex 4.1, 2 Not in Syllabus - CBSE Exams 21 Ex 4.1, 3 Important Not in Syllabus - CBSE Exams 21 Ex 4.1, 4 Not.
According to our calculations, this holds for n up to and including 5. Faulhaber's formula, which is derived below, provides a generalized formula to compute these sums for any value. S 1 = 1 ( 1+1 ) 2(1) + 1 / 6 = 1(2)(3) / 6 = 1.
(1) we will prove that the statement must be true for n = k + 1:. All cards start face down. = (n+1) 2 / ( (n+1)(n+2)) because we can factor the numerator now;.
Sum of first two termed Input:. – Steve Jessop Mar '10 at 17:35. When is it used?.
That's 45,150 and the formula is n/2 times n+1 = n(n+1)/2. Math\underbrace{1^2 +2^2 +3^2 ++n^2}_{S\text{ (say)}} = \frac{n(n+1)(2n+1)}{6}./math Now, math\forall r \in \mathbb{R},/math we have, math(2r. Summing Triangle Numbers Date:.
That's not a correct proof by induction. I am looking for a formula to which I can supply a number N and have it calculate 1+2+3+4+N. 4.2 Polynomial Long Division.
Now, we have to find the sum of the series. Tap for more steps. N(n+1)(n+2) divise 3 démonstration cas par cas دروس الجذع مشترك :.
+ n = (n(n+1))/2 for n, n is a natural number Step 1:. (n+1)2n2 +n+6n+6 6 (factor) = (n+1)(n+2)(2n+3) 6 (This is the fraction we were looking for.) = (n+1)((n+1)+1)(2(n+1)+1) 6:. Why would you integrate it?.
Click here 👆 to get an answer to your question ️ simplify (5^(n+2)- 6.5^(n+1))/(13.5^n-2.5^(n+1)). Notice that n (n + 1) (n + 2) / 6 ≈ n 3 / 6 for large values of n. The relation 2+4+6++2n = n^2+n has to be proved.
Your sum is 150 pairs times the 301 sum for each pair. + n(n+1)(n+2) " " = sum_(r=1)^n r(r+1)(r+2) " " = sum_(r=1)^n r(r^2+3r+2) " " = sum_(r=1)^n (r^3+3r^2+2r) " " = sum_(r=1. And so we can try this out with a few things, we can take S of 3, this is going to be equal to 1 plus 2 plus 3, which is equal to 6.
T(n)+T(n) = i=n i i=1 + i=n (n+1–i) i=1 Two copies, one red and the other, reversed, in green2 T(n) = i=n (i +n+1–i) i=1 pair off the terms, a red with a green2 T(n) = i=n (n+1) i=1 n copies of (n+1):the i does not appear in the formula so all the terms are the same2 T(n) = n (n+1) T(n) = n (n+1) /2 The end. Prove 1 + 2 + 3 +. This is followed by two proofs using algebra.
What is the lewis structure for hcn?. Math, How can n(n-1)/2 be explained in common everyday language?. What are the units used for the ideal gas law?.
But does it hold for all n?. Compute answers using Wolfram's breakthrough technology & knowledgebase, relied on by millions of students & professionals. Math, I am trying to find the formula for the sum of triangle numbers, such as:.
How To Solve 1 2 1 6 1 12 1 1 30 1 42 1 56 1 72 1 90 1 110 1 132 Quora

8 4 Mathematical Induction Copyright C By Houghton Mifflin Company Inc All Rights Reserved 2 Recursively Defined Sequences Write The First Ppt Download

Find The Smallest Integer N With Tau N A Mathematics Stack Exchange

Mathematical Induction Prezentaciya Onlajn

Fascinating Triangular Numbers By Shyam Sunder Gupta
Http Public Gettysburg Edu Dglass Stuy Stuynotes6 Pdf
What The Sum Of N Terms Of The 1 1 2 1 2 3 To N Terms Quora

5 4 Mathematical Induction T

Proof Of 1 2 2 2 Cdots N 2 N 3 3 N 2 2 N 6 Mathematics Stack Exchange
2
2
Important Basic Formula List Area Fraction Mathematics
Find Some Formulas For The Integral Of The Step Function T 2 Stumbling Robot

How To Find How Many Diagonals Are In A Polygon 11 Steps
Arxiv Org Pdf 08 053

6 Sequences And Series Further Mathematics Zimbabwe Zimsec Cambridge

Infinite Sequences And Series Ppt Video Online Download
Ramanujan S Sum Wikipedia

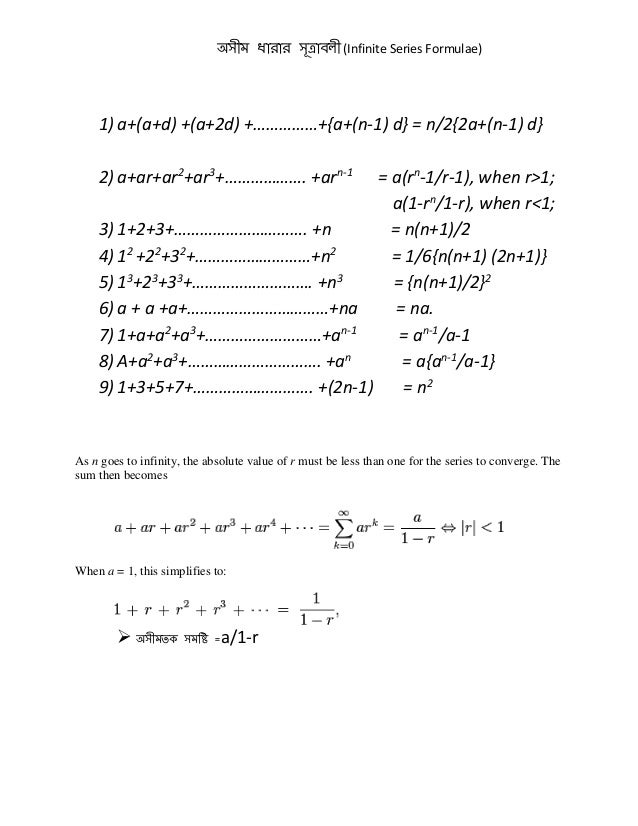
অস ম ধ র র স ত র বল Infinite Series Formula
How To Prove That Math N N 1 N 2 N 3 1 Math Is A Perfect Square Quora

Solved 4 Establish The Following Formulas By Mathematica Chegg Com

Integral Sin N X Dx N 1 N Integral Sin N 2 X Dx From X 0 To Pi 2 Youtube
Web Stanford Edu Class Math108 Files Hw6sol Pdf

Is This Modern Programming Interview Challenge S Solution Unreliable Stack Overflow

Worked Example Sequence Recursive Formula Video Khan Academy

Solved Use Mathematical Induction To Prove The Formula Fo Chegg Com

Eecs 310 Supplementary Notes On Summations

Find Nth Term And Sum Of N Terms Of Given Series 4 11 22 37 56 Brainly In

Solved Closed Formulas For Sums To Be Proven The Summat Chegg Com
Q Tbn 3aand9gcq Tmftumer17bygo3e9h 7 Qscqrnw5niqrv Fr0rrgyg8v573 Usqp Cau

Answered And N 2n 1 N 1 3 5 13 The Bartleby

Factorials Definition Formula Solved Example Problems Exercise Mathematics
Solved In Exercises 1 6 Find A Formula For The Nth Parti Chegg Com

Ex 7 3 6 Find N If N 1p3 Np4 1 9 Chapter 7 Ex 7 3

Fm Series Ppt Download
Q Tbn 3aand9gcswhnn Cyvjxnuyybrnvdimhoqcscxw22k 27ew1uf1xhwlzcht Usqp Cau

A Special Case Of The Generalized Girard Waring Formula Mircea Merca Department Of Mathematics

Math Induction

James Tanton What S The Next Number In The Sequence 2 4 6 8 Write A Formula That Gives 2 For N 1 4 For N 2 6 For N 3 8 For
Solved In Lecture We Came Up With Three Formulas For Summ Chegg Com

What Is The Formula For The Sum Of The First N 4th Powers How Do You Derive It Quora

Brilliant Org Which Formula Describes The Number Of Dots In This Pattern A N 1 B N 1 N 2 2 N C 4n D N N 1 2 N

Sequences And Their Notations College Algebra

Pdf Triangular Squares Using Mathematica

3 Mathematical Induction Pdf Free Download

Example 1

Formulas Para Algoritmos

Answered 11 7 4 Select The Correct Choice That Bartleby

Math 55 Discrete Mathematics Pdf Free Download

Solved In Exercises 5 18 Use Mathematical Induction To P Chegg Com

Proposition For Each Natural Number N 6 2

Approximations For The Factorial Function

Rd Sharma Solutions For Class 11 Chapter 19 Arithmetic Progressions Download Free Pdf

Mathfunc

Math 43 Study Guide Spring 17 Final Bounded Function Limit Of A Sequence Limit Point

If The Sum Of The First N Terms Of An Ap Is 3nsquare 1 And It S Common Difference Is 6 Then Find The Brainly In

Solved Use The Formulae N N N 1 N N 1 2n 1 Si S 6 2 Chegg Com
2

Solved Use The Binomial Formula 1 Alpha N 1 N Alp Chegg Com

Find A Formula For The Sum Of N Terms Use The Formula Top Find The Limit As N Lim N I 1 N 1 2i N 2 N Homework Help And

Jay S Corner 4

From Pmi Prove That N N 1 N 2 Divisible By 6 Mathematics Topperlearning Com
Euler Maclaurin Formula Wikipedia
2

Jay S Corner 4

Pdf Generalization Of Cassini Formulas For Balancing And Lucas Balancing Numbers
Solved Write Each Of The Following Sums Without Using Sum Chegg Com

The Hollow Triangular Numbers Are Divisible By Three

Find The Sum Of The Numbers From 1 To 100 No Calculators Allowed Ppt Download
Python Challenges 1 Exercises Practice Solution W3resource

A Short Explanation Of Le Mystere D Urbicande Francois Schuiten Benoit Peeters
Q Tbn 3aand9gctgsvkq0mj7mt4lir6lpl6pigzia8yqihihllgby3mpdewh5e2v Usqp Cau

Pdf New Proof Of The Infinite Product Representation For Gamma Function And Pochhammer S Symbol And New Infinite Product Representation For Binomial Coecient

Mathematical Induction Prezentaciya Onlajn

1 The Set N 1 2 3 4 Is Known As Natural Numbers Or The Set Of Positive Integers The Natural Numbers Are Used Mainly For Counting Ordering Ppt Download

Pre Calculus 40s Solve For N In The Equation Using The Combination Formula N 2c4 6 Nc2 Homeworkhelp

Proof Of Finite Arithmetic Series Formula By Induction Video Khan Academy

Solved In Exercises 5 18 Use Mathematical Induction To P Chegg Com
2

Solved Problem 5 Mathematical Induction A The Sum Of Chegg Com
2

3 Mathematical Induction Pdf Free Download

Dixon S Formula And Identities Involving Harmonic Numbers G And Mei Li

Mathematical Induction Digital Lesson Copyright C By Houghton Mifflin Company Inc All Rights Reserved 2 Mathematical Induction Is A Legitimate Method Ppt Download

Which Formula Describes The Following Geometric Sequence Remembe

Chapter Sequences And Series Ppt Video Online Download

What Is The Value Of 1 3 5 7 3 5 7 9 5 7 9 11 17 19 21 23 Quora

Use The Euler Totient Function Formula To Find All Values N Such That Phi N 5 Prove That T Homeworklib

Pdf Recurrences For Sums Of Powers Of Binomial Coefficients
2
Solved 3 Use Pmi To Prove For Every Natural Number N N Chegg Com
Solved 3 0 64 Points Details Larcolalg 10 8 4 007 Find The Statement Pk 1 For The Given Statement Pk Pk K2 K 8 2 Pk 1 Need Help Re Course Hero

Pdf Important Sum Formulas Omid Motahed Academia Edu
Q Tbn 3aand9gct9mzj8mq Jjhpgfc8xthw2nv1vcte2e1joief7p6xjh7ke4hue Usqp Cau

Seminar Assignments Webwork Solutions Math 262 Mcgill Studocu

Factorial Of A Number N Formula Calculator

Prove That 1 2 2 2 3 2 N 2 N N 1 2n 1 6 Youtube
What Is The Formula For Finding The Sum Of The Integers 1 4 10 35 And 56 That Appear In A Diagonal Row In Pascal S Triangle Quora