Differentiation Of Logx+1x

Derivative Of Log Confusion Mathematics Stack Exchange

The Derivative Of 5 Log X With Respect To X Is

Example 29 Differentiate I E X Ii Sin Log X Iii Cos 1 E X

Math Scene Derivatives Lesson 5 The Chain Rule

Derivative Of Y Log X And Y Ln X Youtube
Q Tbn 3aand9gcr4qi8cde5cycbq2tuiixpjmosk3vfuwiopmv2fmwawmgkmltld Usqp Cau


Derivative Of Logₐx For Any Positive Base A 1 Video Khan Academy

Ex 5 4 8 Differentiate Log Log X Chapter 5 Class 12

12 X1 T01 02 Differentiating Logs 13
5 Derivative Of The Logarithmic Function
What Is The Differentiation Of Ln X And Log X Quora

Log 1 X Nth Differentiation Brainly In
Find The Integral Of 1 X Log X Stumbling Robot
3 9 Derivatives Of Exponential And Logarithmic Functions Calculus Volume 1 Openstax

Solved O Use Implicit Differentiation To Show That If Y Chegg Com
What Is The Derivation Of Log Logx Quora

What Is The Derivative Of 1 Logx Quora

Lesson 16 Derivatives Of Exponential And Logarithmic Functions

R S Aggarwal Solutions For Class 11 Maths Chapter 28 Differentiation Free Pdf

Calculus Derivative Of The Natural Log Ln Solutions Examples Videos
Derivative Rules

Finding The Derivative Of Log X Video Lesson Transcript Study Com

Finding The Derivative Of Log X Video Lesson Transcript Study Com

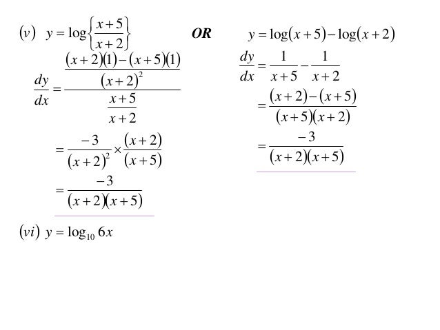
Ipe Material Notes

Ipe Material Notes
5 Derivative Of The Logarithmic Function
What Is The Derivative Of 1 X Logx Quora

Finding The Derivative Of Log X Video Lesson Transcript Study Com

Rd Sharma Solutions For Class 12 Maths Chapter 11 Differentiation Download Free Pdf

Answered Logarithmic Differentiation Multiple Bartleby

Derivative Calculator With Steps
Q Tbn 3aand9gcso0tq8qp85osb42rvxm6bbq Xmxqbaadgaxvbbubw3 4kvimli Usqp Cau

Differentiate The Function With Respect To X Sqrt X 1 X 2 X 3 X 4 X 5 Mathematics Shaalaa Com

Ex 5 7 10 Find Second Order Derivatives Of Sin Log X

7 4 Logarithmic Differentiation

If Y Tan 1 Log E X 2 Log Ex 2 Tan 1 3 2logx 1 6logx

Derivatives Of Logarithmic Functions Problem 3 Calculus Video By Brightstorm
Q Tbn 3aand9gcrmz2siaeetioikgdnsmi Ocbang8gap059kfib8zux 58dlk4m Usqp Cau

Differentiate The Function With Respect To X X Cos X X X Sin X 1 X Mathematics Shaalaa Com

Geneseo Math 222 01 Functions

Ex 5 5 3 Differentiate The Function Log X Cos X Teachoo
What Is The Derivative Of 1 Logx Quora

Logs And Derivatives
What Is Differentiation Of Y Log X 1 X Quora

Consider The Function F X Y Ln X 2 Y 2 3 Compute The Partial Derivatives Of The First And Second Order Mathematics Stack Exchange

Ex 5 5 7 Differentiate The Function Log X X X Log X

Ramrao Adik Indtitute Of Technology Nerul Navi
What Is The Differentiation Of Log Cosx Quora
Find The Derivative Of Log X X Xlog X Stumbling Robot

Ex 5 5 7 Differentiate The Function Log X X X Log X
Search Q Derivative Of Log 1 X Tbm Isch

The Natural Logarithmic Function Differentiation And Integration

Derivative Of Log X 1 X Proof In Calculus Youtube
5 Derivative Of The Logarithmic Function

Misc 7 Differentiate Log X Log X Chapter 5 Class 12
What Is The Differentiation Of 1 Log X Base 10 Quora
How Do You Find The Derivative Of E X Log X Socratic

Lesson 16 Derivatives Of Exponential And Logarithmic Functions
What Is The Nth Derivative Of Logx Quora

Differentiate Log X With Respect To Sin Inverse Root X Brainly In

Derivatives Of Logaithmic Functions
What Is The Nth Derivative Of Logx Quora

Derivative Of 1 Log X Math Continuity And Differentiability Meritnation Com

Derivative Of Logarithm For Any Base Old Video Khan Academy

Differentiate Log X Ex W R T X Log X From Mathematics Continuity And Differentiability Class 12 Cbse

Exponentials And Logarithms Maths A Level Revision
Solved 11 Use Logarithmic Differentiation To Find The De Chegg Com

Finding The Derivative Of Log X Video Lesson Transcript Study Com
Natural Logarithm Wikipedia

Misc 7 Differentiate Log X Log X Chapter 5 Class 12

How Can I Find I N Int 0 1 Frac X 2n Ln X 1 X 2 1 X 4 N Dx N In N Mathematics Stack Exchange

7 4 Logarithmic Differentiation

Derivative Of Logarithm For Any Base Old Video Khan Academy
5 Derivative Of The Logarithmic Function

Ipe Material Notes
If X Y E X Y Show That Dy Dx Logx Log Xe 2 Sarthaks Econnect Largest Online Education Community

Solved Use Logarithmic Differentiation To Find Dy Dx Y Chegg Com
Find The Derivative Of Log Log Log X Stumbling Robot
Differentiate Log X X2 A W R T X Studyrankersonline

Ex 5 7 9 Find Second Order Derivatives Of Log Log X
Natural Logarithm Wikipedia
Derivative Of Logarithm For Any Base Old Video Khan Academy

Logarithmic Differentiation X 3 4 Sqrt X 2 1 2x 1 3 Youtube

Solved Use Logarithmic Differentiation To Find The Deriva Chegg Com
Find The Derivative Of Xxx Stumbling Robot

If Y Log X Root X2 1 Then Prove That X2 1 Dy Dx X Dy Dx 0 Brainly In

Peter Michaels Pmichaels94 On Pinterest

Find Second Order Derivative Of Log Logx Youtube

Ipe Material Notes

5 Derivative Of The Logarithmic Function
Natural Logarithm Wikipedia

3 6 Derivatives Of Logarithmic Functions In This Section We Use Implicit Differentiation To Find The Derivatives Of The Logarithmic Functions And In Ppt Download
What Is The Differentiation Of Log X 2 1 X 2 1 W R T X Quora

Solved Use Logarithmic Differentiation To Find Dy Dx X Chegg Com
Natural Logarithm Wikipedia

What Is The Derivative Of X 2 Log X Quora

Differentiate Log X 1 X Derivatives Of Log X 1 X Differentiation Of Log X 1 X Chain Rule Youtube

Ex 7 2 36 Integrate X 1 X Log X 2 X Teachoo

Find Dy Dxof Y X Logx Log X X Socratic

Integrate The Functions Sqrt X 2 1 Log X 2 1 2log X X 4 Mathematics Shaalaa Com

Ex 5 5 3 Differentiate The Function Log X Cos X Teachoo

Lesson 16 Derivatives Of Exponential And Logarithmic Functions

7 3 General Exponential And Logarithmic Functions

Differentiate Log 1 Sinx 1 Sinx 1 2 Wrt X My Answer Came Out To Be Secx Is This Right Mathematics Topperlearning Com Jngqqbrr