Y+4yexcos2x

Y 4y 4cos 2x Y 0 0 Y 0 0 Free Math Help Forum

How To Solve Math Y 4y 5y E 2x Cos X Quora

Nonhomogeneous Linear Equations Pdf Free Download

Solve The Given Nonhomogeneous Linear Ode By Variation Of Parameters Or Undetermined Coefficients Show The Details Of Your Work Y 4y 5y E 2x Cscx Homework Help And Answers Slader

Differential Equations Youtube
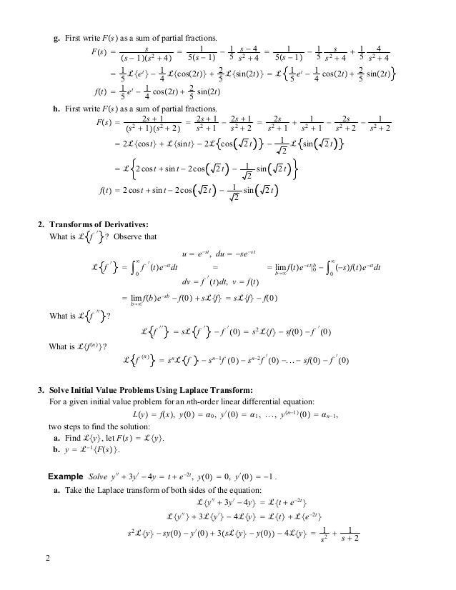
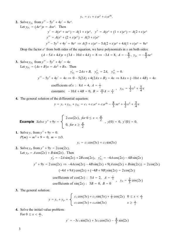
2
Integral of cos(x)^2 with respect to x:.

Y+4yexcos2x. Y = C1e−x cos 2x+ C2e−x sin 2x+C3ex +C4e−x 4. Utilizziamo il polinomio associato. How to approach solving this problem using the undetermined coefficients-superposition approach method?.
Apply Annihilators and Solve y=c1 c2 e −x c 3 e x c 4 xe x c 5 x 2 ex c 6 cos x c7sin x Step 3:. Find the general solution of the equation. Y = c1e−4x +c2e−x +2xe−x/3 11.
Get an answer for 'y''+4y'+4y=(e^(-2x)) / (x^2), x>0 Determine a particular solution of the nonhomogeneous differential equation using the method of variation of parameters.' and find homework. ∫e^x*cos(3x) dx = e^x * cos(3x) + 3*e^x*sin(3x) / 10 The trick is in differentiating sine then cosine or cosine then sine you can just add it up. Graph y=3cos(2x) Use the form to find the variables used to find the amplitude, period, phase shift, and vertical shift.
Y = c1x−1 +c2x−3 16. Y = Acos(2x) + Bsin(2x) which is complementary soln. # y = acos(2x)+bsin(2x) #.
K = 2i and -2i, so, y = Pe^(2ix) + Qe^(-2ix) Using e^ix = c + is leads to equivalent form. That's = 8 sin 2x whilst p = -a million and q = 0, so we've the particular answer (a million. 2x e x 2e2x e x = e2xe x 2e xe2x = 3ex:.
Y = c1x+c2xlnx 14. Asked Jul 27,. X = −2c1et +c2e4t, y = c1et +c2e4t.
Get 1:1 help now from expert Advanced Math tutors. Therefore a particular solution is y p = u 1y 1 + u 2y 2 = 2 9 e 3x e2x 2 3 xe x = 2 9 e x 2 3 xe x;. Related Questions `y = cos^-1(sin^-1(t))` Find the derivative of the function.
The homogeneous equation with constant coefficients that has y = C1e−2x +C2xe−2x +C3 cos 2x+C4 sin 2x+C5 as its general solution is:. The equation is y" + 4y' +4y = 8 sin 2x. So, this is our nal guess for y p.
Given a differential equation y" + 4y = cos (2x) i) Find the homogeneous solution y_ H. Integral of e^(3x) with respect to x:. Y(5) +4y(4) + 8y000 + 16y00 + 16y0 = 0 2.
G(x) = 7cos(2x) + 9sin(2x). # y_c = e^(0x){Acos(2x)+Bsin(2x)} # # \ \ \ = Acos(2x)+Bsin(2x) # Particular Solution. A) y + y = tan x b) y + 2y − 3y = e−x c) y + 4y = sec2 2x 2D-2.
Stack Exchange network consists of 176 Q&A communities including Stack Overflow, the largest, most trusted online community for developers to learn, share their knowledge, and build their careers. A questo punto sappiamo che la soluzione parziale dev'esere. Bessel’s equation of order p is x 2 y + xy + (x 2 − p 2 )y = 0.
# y''+4y= 0 # And it's associated Auxiliary equation is:. Our math solver supports basic math, pre-algebra, algebra, trigonometry, calculus and more. Y.(x) = c1 cos 2x + c2 sin 2x.
Find the amplitude. I can of course break cos squared x into 1/2 - (Cos2x)/2 but I'm not sure about the equation(s) I would have to bring into this. Y = c1e2x +c2xe2x +x2e2x/2 12.
We seek a particular solution y p = u 1y 1 + u 2y 2 where u01= y 2 g(x) W and u0 2 = y 1 g(x) W. Y −2y + 5y = 0;. Free Pre-Algebra, Algebra, Trigonometry, Calculus, Geometry, Statistics and Chemistry calculators step-by-step.
Y = c1 +c2e4x −5x2/8 +3x/16 10. 1 Educator Answer `y = sin^-1 (2x + 1)` Find the derivative of the function. Y'' + 4y = e^(x)cos(2x) これのとき方を教えてくださいお願いします y’’ + 4y = e^x cos(2x)y’’cos(2x) + 4y cos(2x) = e^x cos(2x)^2y’’cos(2x) - 2 y’sin(2x) + 2 y’sin(2x) + 4y cos(2x) = e^x cos(2x)^2y’’cos(2x) - 2.
Solve the differential equation :. Y"+ 4y'= cos^2( x). Y'' + 4y' + 4y = E^-x Cos X.
# y''+4y'+4y = e^(-2x)sin2x # This is a second order linear non-Homogeneous Differentiation Equation. Find the general solution of {eq}y'' +4y=\cos^2 x {/eq}. 1 cos(4x) + c 2 sin(4x) 1.
Stack Exchange network consists of 176 Q&A communities including Stack Overflow, the largest, most trusted online community for developers to learn, share their knowledge, and build their careers. Solve the differential equation y'' + 4y = sin^2x using variations of parameters. 微 分方 2113 程Y``-4Y`+5Y=0的特征方程为r^ 5261 2-4r+5=0r^2-4r+4+1=0(r-2)^ 4102 2=-1=i^2特征方程两根 为共 轭虚 1653 根为 2+i和2-i所以微分方程的通解为y=e^2x{C1cosX+C2sinX}(C1,C2为任意 常数).
X3−2x2−4x+2=0x 3 −2x 2 −4x+2=0 d. X3 … +4.001x2+4.002x+1.101=0x 3 +4.001x 2 +4.002x+1.101=0. \frac{d^2y}{dx^2} + 4\frac{dy}{dx} + 5y = e^{-x} -\sin 2x By signing up, you'll.
Y c = c 1 e 5x + c 2 e –x Cálculo de y p:. Integral of e^(x^2) with respect to x:. The period of the function can be calculated using.
Y = c1x−1 cos(3lnx) +c2x−1 sin(3lnx) 15. Integral of cos(2x) with respect to x:. Find the general solution of the different ial equation y" + 4y = 2 + e²¤ cos 2x.
A) Solve the following Cauchy -Euler's equation x^2y" - 4xy' + y = 0 b) Write the general solution. Y" + 4y' + 4y = -8p sin 2x + 8q cos 2x. X ≤ x Find the general solution to x y2 +xy (x2 − 1) 4 y = x 3/2 cos x.
\(y''+3y'+2y=7\cos x-\sin x\) 2. 数学の問題です。 次の微分方程式の一般解を求めてください。(1) y''-4y'+3y=0(2) y''-y'-2y=2x²-3(3) y''-2y'+y=sin2x(4) y''+4y. Substituting in, we get the characteristic equation r^2 + 4r + 5 = 0.
Solutions of this take the form e^rx. Y p = Acos(2x) + Bsin(2x) Since these trig functions have a di erent argument than the trig functions in y c, we don’t have any overlap. Free system of equations calculator - solve system of equations step-by-step.
Use Undetermined Coefficients to Solve yp=−7 1 4 e−x−1 2 xex 1 4 x2 ex. Z^2 + 4 = 0. U 2 = Z e2x 2e x 3ex dx = 2 3 Z 1dx = 2 3 x:.
Both of these trig functions have the same argument, so we only need one pair of trig functions in our initial guess:. Ii) Find a particular solution of non-homogeneous equation and write the general solution of this equation. Y’’ –4 y’ –5y = 5 cos x Cálculo de y c:.
1/( square root of x) 60:. Cos^3(x)+isin(x)cos^2(x)+2isin(x)cos^2(x)+2(-1)sin^2(x)cos(x)-sin^2(x)cos(x)-isin^3(x) cos^3(x)+3isin(x)cos^2(x)-3sin^2(x)cos(x)-isin^3(x) Answer by Edwin McCravy() (Show Source):. For p = 1 2, two independent solutions for x > 0 are sin x cos x y1 = ≤ and y2 = , x > 0.
Quadratic equation gives us r = -4±√(16–4•1•5)/2 = -2±i. Yp = Axe−2x cos(3x) +Bxe−2x sin(3x) 13. I have the answer jus wanted to see how to get it Thx.
Find the general solution to the differential equation. Y’’ – 4y’- 5y = 0 su ecuación característica es m 2 - 4m -5 = 0 las raíces de esta ecuación son m 1 = 5 y m 2 = -1 raíces reales distintas La solución general de la homogénea es:. Given the particular answer, we could p.c.
Finally take the inverse Laplace transform. Find the general solution of the equation y''+4y=cos 2x Ans. Second-Order Linear Homogeneous Differential Equations with Constant Coefficients:.
Y'''−y'' y'−y=xex−e−x 7 Step 1:. Y” + 4y’ + 5y = 0. You can put this solution on YOUR website!.
Finding the particular solution yp by the method of undetermined. Tap for more steps. Characteristic equation r2 −2r + 5 = 0.By quadratic formula, r = 1 ± 2i.
Advanced Math Q&A Library Consider the following ODE \ y'' = 4y What is a possible solution (select all) Select one or more:. Y''-y'+3y=e^x(sin3x) 微分演算子を使うと (D²-D+3)y=e^xsin3x. 求微分方程y''+4y=0的通解,并设出方程y''+4y=e^x的特解形式 y''-4y=e^2x的通解 微分方程Y''--4Y=X+2的通解是什么 求微分方程y''-5y'+4y=x^2的通解 y''-4y'+4y=x求通解(要特解过程).
In Exercises 5.5.1-5.5.17 find a particular solution. # m^2+4 = 0 # Which has two pure imaginary solutions #m = +-2i# Thus the solution of the homogeneous equation is:. \(y''+3y'+y=(2-6x)\cos x-9\sin x\) 3.
So u 1 = Z e x 2e x 3ex dx = 2 3 Z e 3xdx = 2 9 e 3x;. Y''-4y=xcos(2x) - particular solution.?. With this particular equation A, a probable solution is of the form:.
Y (x) = (1 10 x + 3 25) e − x / 2 + 1 25 e 2 x − 1 25 (4 cos x + 3 sin x) For this method to work, the right-hand side of the ODE needs to have a known Laplace transform. Solve your math problems using our free math solver with step-by-step solutions. Y" + 4y = 3 sin(2x) Solve y" + 4y = 0 to get complementary soln.
Proponemos y p = a cos x + b sen x vemos que. I cannot manage to find the particular solution of the problem. Y’’-4y’+13y=e^2x(cos 3x) という微分方程式を逆演算子法を用いて解けという問題を解いていて υ(x)=1/(D-2)^2+9e^2x(cos 3x) というところまで解けているのですがこの先の解法が分かりません。分かる方よろしくお願いします。.
\ -2 e^{-2x} g. Y (s) = − 4 x + 3 25 (x 2 + 1) + 1 25 (x − 2) − 6 25 (2 x + 1) − 2 5 (2 x + 1) 2. Find the Derivative - d/dx:.
Y(0) = 1, y (0) = −1 Solution:. This problem has been solved!. Add Your Answer.
Part I Problems and Solutions OCW 18.03SC (using as y 1, y 2 the real and imaginary parts of the characteristic solution y = e(−1+i)x = e−x(cos x +i sin x)) Problem 11:. Find intervals containing solutions to the following equations. Searched all over internet for similar type of problems, but none seemed to include a G(x) that involved a product of a polynomial and trigg.
4x2−ex=04x 2−e x =0 c. The second one is the same, the minus in e^(-2x) will happen twice and thus be a plus and affect nothing. Details No Answers Yet.
Find the general solution of the different ial equation y" + 4y = 2 + e²¤ cos 2x fullscreen. Use the assumed form y = e^kx (k^2 + 4)e^kx = 0, but e^kx not zero. Find the period using the formula.
We detect y = p cos 2x + q sin 2x, y' = -2p sin 2x + 2q cos 2x, and y" = -4p cos 2x - 4q sin 2x. Previous question Next question Get more help from Chegg. Y = c1e−x cos(2x) +c2e−x sin(2x) +xe−x/2 9.
Y'' + 4y' + 4y = e^-x cos x. Z = ± 2i. Y'' + 4y = e^x + 1.
\ 73 e^{2x} d. Y'' - 4y' + 4y = x^2 + e^x + cos 2x?. P and q such that the particular answer satisfies the diff.
X−3−x=0x−3 −x =0 b. \(y=e^x \cos (3x)+e^x \sin (2x)\) is a solution to the second-order differential equation \(y″+2y′+10=0.\) False To find the particular solution to a second-order differential equation, you need one initial condition. The homogeneous equation with constant coefficients of least order that has.
Solve Homogeneous Equation yc=c1 e x c 2 cos x c3sin x Step 2:.

Engineering Mathematics Notes
Conf Math Illinois Edu Robinson Math285 Sol Exam2 Pdf

Second Order Linear Differential Equations Stewart Calculus

Chapter 9 Differential Equations 9 1 Modeling With Differential Equations 9 2 Direction Fields And Euler S Method 9 3 Separable Equations 9 4 Exponential Ppt Download

Solved Solve The Initial Value Problem Y 4y 4y X Chegg Com

Engineering Mathematics Notes
Web Viu Ca Pughg Spring19 Math251s19n01 Math251s19n01t2sol Pdf

Solved Exercises 4 4 Answers To Selected Odd Numbered Pro Chegg Com
What Is The Solution Of Differential Equation D 2y Dx 2 2 Dy Dx Y 0 When X 0 Y 1 Dy Dx 2 Quora

Mathematical Physics 2 H W 4 Y Y 6y Y 4y 4y Y Y0 Y 0 2 And Y 0 Subject To The Initial Homeworklib

Solved Solve The Differential Equation By Undetermined Co Chegg Com

Y 4y E X Find A Particular Solution Differential Equations Youtube

Documents Mx Eduv
2
Solve By The Method Of Undetermined Coefficients The Equation Y 4y X 2 E X Sarthaks Econnect Largest Online Education Community

Documents Mx Eduv
Solved Solve Y 4y T E X Cos 2x By Using The Metho Chegg Com

Differential Equation

Pdf Introduction To Differential Equations Gizelle Silva Academia Edu

Answered Consider The Following Differential Bartleby
What Is The Particular Solution Of Math Y 2y 2y E X Sinx Math Quora

Differential Equations Youtube

Chapter 9 Differential Equations 9 1 Modeling With Differential Equations 9 2 Direction Fields And Euler S Method 9 3 Separable Equations 9 4 Exponential Ppt Download

Answered 2 Evaluate The Limit Using The Bartleby

Solution Manual For Differential Equations An Introduction To Modern Methods And Applications 3rd Ed By Cndps135 Issuu

Solutions To Problems In Chapter One Mathematics

How To Solve Math Y 4y 5y E 2x Cos X Quora
What Is The Solution To This Differential Equation Math Y 4y 4y E 2x Math Quora
Solved Find The General Solution Of The Differential Equa Chegg Com
Www Math Uh Edu Pwalker 3321f13t2rev Pdf
Solved 1 1 Problems 5 6 Y Y 2e Y Ex E X Y 4y Chegg Com

Check The Answer Of A Differential Equation When I Put It In Wolfram Alpha Online Technical Discussion Groups Wolfram Community
Solved Solve Y 4y E X Cos 2x By Using The Method Chegg Com

Answered Consider The Following Ode Y 4y What Bartleby

Nonhomogeneous Linear Equations

Solving Y 4y 3 Sin 2x Using Undetermined Coefficients Mathematics Stack Exchange

What Is The Solution Of D 2 4 Y Sin 2x Quora

Two Linearly Independent Solutions Of The Differential Equation Y 4y 4y 0 Are Of Two Linearly Independent Solutions The Homeworklib

Documents Mx Eduv
Http Www Cs Ucr Edu Craigs Ucla Courses 135 2 16s Hw 2 Sol Pdf

Undetermined Coefficients 4 Video Khan Academy
Differential Equations 2 Pdf Fourier Series Equations

Chapter 08 2500 Solved Problems In Differential Equations Docsity
2

Solve The Differential Equation Or Initial Value Problem Using The Method Of Undetermined Coefficients Y 4y E X Cos X Y 0 1 Y 0 2 Homework Help And Answers Slader
What Is The Solution Of D 2 4 Y Sin 2x Quora

Chapter 07 2500 Solved Problems In Differential Equations Docsity

Solve The Differential Equation Y 4y Sin 2x Using Variations Of Parameters Youtube
Solved Solve The Given Differential Equation By Undetermi Chegg Com
Using The Method Of Undetermined Coefficients Solve D 2y Dx 2 2dy Dx 4y 2x 2 3e X Sarthaks Econnect Largest Online Education Community
Http Www Math Ntu Edu Tw Cheng Teaching Calculus Ch18 Pdf

Chapter 4 Linear Second Order Equations Ay By Cy 0 1 Where A B C Are Constants The Associated Auxiliary Equation Is R 2 B B 2 4ac 2a Pdf Free Download

Homework 1 Solutions Pdf Free Download
Pages Mtu Edu Struther Courses Old Other Older 3521 10 Quizstuff Q5 Ch 4 Pdf

Y Y 0 Subject To The Initial Conditions Y 0 2 And Y O 1 Homeworklib

Nonhomogeneous Linear Equations Pdf Free Download

Tutorial 2 Differential Equations Ssce 1793 Utm Studocu
Www Math Uh Edu Etgen Emcf 12 Sp Pdf
Www Math Miami Edu Dscheib Teaching Fall11 Map2302 Files Map2302 Quizzes Exams Files Exam2review Answers Pdf

5 Solve The Initial Value Problem Y 4y 2 3e Y 0 0 Homeworklib
Http Pages Mtu Edu Struther Courses Old Other Older 3521 10 Quizstuff Fromgil Week4 W5 Ch4 Pdf

Engineering Mathematics Ii Ma Ppt Download

Emcf 10 Sp16 Emcf 10 Math 3321 Uh Studocu
How To Solve D 2 4 Y Tan2x Quora

Engineering Mathematics Notes

Show That The Function Y E 2x A Cos 3x B

General Solution Of Y 4y 5y 2y 0 Youtube
Q Tbn 3aand9gcrejnyjmpgmqy2bgukuskhxg4ska2jz77kk C6pbzqp7vk Fhtk Usqp Cau
Undetermined Coefficients 4 Video Khan Academy
2

Solved Consider The Three Functions Y 1 X Cos 2x Y Chegg Com

Solved Question 15 Give The General Solution Of The Diffe Chegg Com
Q Tbn 3aand9gct6gdhu6f9jcwatpmvklypakmsnscebdehl9ekya1kd4zohmihj Usqp Cau

Thomas Calculus 12th Edition Thomas Solutions Manual

Documents Mx Eduv

Chapter 9 Differential Equations 9 1 Modeling With Differential Equations 9 2 Direction Fields And Euler S Method 9 3 Separable Equations 9 4 Exponential Ppt Download

Two Linearly Independent Solutions Of The Differential Equation Y 4y 5y 0 Are Homeworklib
3 Ordinary Differential Equation Equations

Solved Solve The Following Ivp A Y 5y 6y E X Chegg Com

Answered Question 13 Use Variation Of Bartleby

Chapter 9 Differential Equations 9 1 Modeling With Differential Equations 9 2 Direction Fields And Euler S Method 9 3 Separable Equations 9 4 Exponential Ppt Download
2

Solved Two Linearly Independent Solutions Of The Differen Chegg Com

5 Solve The Initial Value Problem Y 4y 2 3e Y 0 0 Homeworklib
Get Answer Differntial Equation Please Help Show Transcribed Image Text 17 Transtutors

Solved Give The General Solution Of The Differential Equa Chegg Com

Solve The Differential Equation Y Y 2y Cos X Sin 2x Youtube

1 Solve The Equation Y 4y 5y 0 With The Initial Conditions Y 0 Homeworklib
Faculty Math Illinois Edu Rdeville Teaching 286 Hw5s Pdf
How To Solve Y 4y Cosxcos3x Quora
2

Mathematical Physics 2 H W 4 Y Y 6y Y 4y 4y Y Y0 Y 0 2 And Y 0 Subject To The Initial Homeworklib

Y 4y 0 Second Order Homogeneous Differential Equation Youtube
Solved Exercises 12 3 Solve Each Differential Equation 1 Chegg Com
Solve By The Method Of Undetermined Coefficients Y Y 4y X Cos 2x Sarthaks Econnect Largest Online Education Community

Solved In Problems 9 And 10 Find An Interval Centered Abo Chegg Com