Nn 1n 2n 3n 4n 5 Formula

Ppt Cycloalkanes Powerpoint Presentation Free Download Id

Which Formula Describes The Following Geometric Sequence Remembe

Global Asymptotic Stability Of A Family Of Nonlinear Difference Equations Topic Of Research Paper In Mathematics Download Scholarly Article Pdf And Read For Free On Cyberleninka Open Science Hub

Pdf A Note On The Diophantine Equation X 4 Y 2

Epb1 Compounds And Formulations For Use In Methods For The Treatment And Prophylaxis Of Pneumocystis Cariniipneumonia And Other Diseases Google Patents

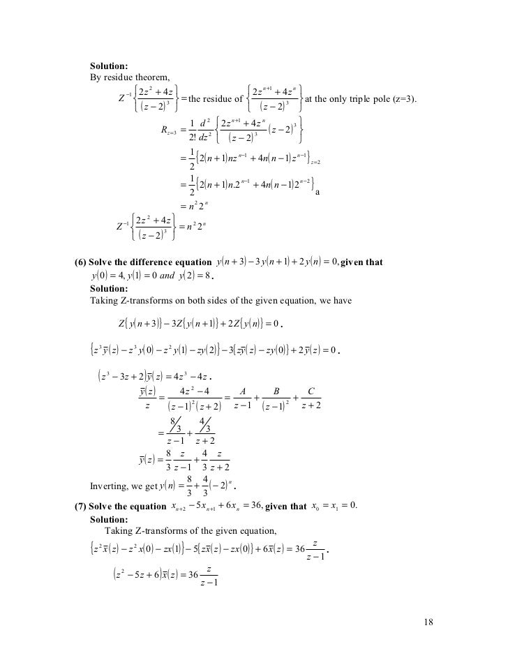
Chapter 5 Maths 3


Npn N 1p4 5 3 Permutation Equation Youtube

Product Analysis Formulas The Catalan Numbers And Its Relation With

Rd Sharma Solutions For Class 10 Chapter 9 Arithmetic Progressions Get Free Pdf

Please Help The Question Is Attached Below Drag The Tiles To The Correct Boxes To Complete The Pairs Brainly Com

Mod6lesson6notes
Plos One Individualizing Pharmacotherapy In Patients With Renal Impairment The Validity Of The Modification Of Diet In Renal Disease Formula In Specific Patient Populations With A Glomerular Filtration Rate Below 60 Ml Min

Answered 11 7 4 Select The Correct Choice That Bartleby

Use The Euler Totient Function Formula To Find All Values N Such That Phi N 5 Prove That T Homeworklib

Stirling S Approximation Wikipedia

Phy1160c

Solved Problem 3 A Find A Formula For 1 2 2 33 4 N N 1 Chegg Com
Http Citeseerx Ist Psu Edu Viewdoc Download Doi 10 1 1 398 42 Rep Rep1 Type Pdf

Find The Smallest Integer N With Tau N A Mathematics Stack Exchange

View Question Fin The Third Fifth And Tenth Term Of The Sequence Described By Each Explicit Formula Please Show Work 1 A N 4 N 1 5 2 A N
Q Tbn 3aand9gcrvynj8ino8cmsweqf5 Jifw02suqv7 8tdge8inx Lmiwiazk6 Usqp Cau
Nanopdf Com Download Rational Number 5ad8e4307fdd9 Pdf

Permutation Formula Qna Mathlibra A Math Library

Epb1 Compounds And Formulations For Use In Methods For The Treatment And Prophylaxis Of Pneumocystis Cariniipneumonia And Other Diseases Google Patents

Answered 3 Approximate The Value Of The Series Bartleby

Introduction Appendix D Mathematical Induction D1 Pdf Free Download
Q Tbn 3aand9gctzxqryzpd2r 9zt4go8 Axproaij46zknxxwblztsd5wh29n0y Usqp Cau

Solved 1 A Prove That N 2 Is Divisible By 2 For Al Chegg Com

Product Analysis Formulas The Catalan Numbers And Its Relation With

What Is The Formula For The Sum Of The First N 4th Powers How Do You Derive It Quora

Wo 09 A1 2 4 Diamino Pyrimidine Derivatives The Lens Free Open Patent And Scholarly Search

Solved Enter The Fraction In The Form Alb Determine Chegg Com

Catalan Numbers
2
Solved Consider The Following Systems 1 H N U N X N Chegg Com

Seminar Assignments Webwork Solutions Math 262 Mcgill Studocu

For The System Described By Difference Equation Model Vin 5x N 4x N 1 3x N 2 2x N 3 X N 4 Find Homeworklib

James Tanton What S The Next Number In The Sequence 2 4 6 8 Write A Formula That Gives 2 For N 1 4 For N 2 6 For N 3 8 For

Families Of Regular Polygons And Their Mutations G H Hughes Abstract Every Regular N Gon Generates A Canonical Family Of
Faulhaber S Formula Wikipedia

Solved In Exercises 5 18 Use Mathematical Induction To P Chegg Com

Mathematical Induction Series Formula Proofs Youtube

Unit 2 Algebra Mathematics 9 1 Igcse Year Ppt Download

Program For Factorial Of A Number Geeksforgeeks
2

Chapter 5 Maths 3

Determine Whether Each Of These Proposed Definitions Is A Valid Recursive Definition Of A Function F From The Set Of Nonnegative Integers To The Set Of Integers If F Is Well Defined

Answers By Adenguo Issuu
Www Jstor Org Stable

Solve 3p N 4 P N 1 5 Factorial Permutation Equation Youtube
Geometric Series Wikipedia

Pdf An Exact Formula For The Prime Counting Function Jose R Sousa Academia Edu

Solved Problem 1 We Mentioned In Class The Sum Of The Fir Chegg Com

Solved Find A Formula For 1 1 2 1 2 3 1 N9n 1 Chegg Com

Pdf A Third Order Apery Like Recursion For Z 5

Solved Check The Above Formula Explicitly For N 4 Find Chegg Com

The Nth Term Of The Sequence 2 1 4 7 10 Is Given By The Formula A An N 3 B An 3n Brainly In
How To Prove That Math N N 1 N 2 N 3 1 Math Is A Perfect Square Quora

Exam 1fm Eleanor Roosevelt High School
Faulhaber S Formula Wikipedia

Chapter 5 Maths 3

Factorials Definition Formula Solved Example Problems Exercise Mathematics
Plos One Citral Sensing By Transient Receptor Potential Channels In Dorsal Root Ganglion Neurons
Factorials

Ex 5 3 3 In An Ap I Given A 5 D 3 An 50 Find N

Solved Consider The Product 111 2 A Rewrite Using Pro Chegg Com

Pdf Asymptotic Formulae For The N Th Perfect Power

Simple Arrangements Selections Combinations Permutations A Permutation Of N Distinct Objects Is An Arrangement Or Ordering Of The N Objects An Ppt Download

Mathematical Induction Topics In Precalculus
Python Challenges 1 Exercises Practice Solution W3resource

Solved In Exercises 5 18 Use Mathematical Induction To P Chegg Com

Section 9 1 Sequences Ppt Video Online Download

Proof By Induction Example 1 Youtube

Solved For X N U N 3 U N 1 U N 2 U N Chegg Com

Ps 08 19 Key Key Chem 105 General College Chemistry Studocu

Section 9 1 Sequences Ppt Video Online Download

Phys12 Sm Ch9 Section9e5

Introduction Appendix D Mathematical Induction D1 Pdf Free Download

0 Relation Between P N R And P N N R Factorial And Permutations Youtube
2

Solve These Recurrence Relations Together With The Initial Conditions Given A Math A N 2a N 1 For N Leq 1 A 0 3 Math B Math A N A N 1 Math For Math N Leq 1 A 0 2 Math

Math 108 Combinatorics Fall 05 Homework 1 Solutions

Study Flow Diagram Control Bovine Milk Based Whey Predominant Download Scientific Diagram

Usa1 Cell Permeable Variants Of Trehalose And Methods For The Protection Of Living Cells Google Patents
How To Prove That Math N N 1 N 2 N 3 1 Math Is A Perfect Square Quora

How To Find A Number Of Terms In An Arithmetic Sequence 3 Steps

1

Stirling S Formula N Spheres And The Gamma Function Pdf Free Download
_1468216008_578332c87f791_217414-27.jpg)
Arithmetic Progression Notes
Q Tbn 3aand9gcswhnn Cyvjxnuyybrnvdimhoqcscxw22k 27ew1uf1xhwlzcht Usqp Cau

Solved Consider The Series Sigma N 1 Infinity A N Where A Chegg Com

3 5 Recurrence Relations Ppt Download

Find N If I N 1 42 N 1 Ii N 3 110 N 1

Hw4 4th Homework Assignment For Cs 101 Cmps 101 Ucsc Studocu

Tutorial 2 Geometry Solutions F18xd Hw Studocu
Vadim Sdsu Edu Teaching 579 S07 Exam 5 solutions Pdf

General Chemistry Questions
2

Pdf Observations On The Transcendental Equation 2 2 3 2 2 2 2 2 Iosr Journals Academia Edu

If 9 N 3 2 3 N 27 N 1 Find The Value Of N 3 3 5 2 3 27 Mathematics Topperlearning Com O3pa9r11
What Does N Mean Quora

How To Solve A Differential Equation With Power Series Pdf Free Download

Proof Of Finite Arithmetic Series Formula By Induction Video Khan Academy
Solved Given The Difference Equation Y N X N 3 2x N Chegg Com