Formula De 1+2+3+4+n

1 1 E Hf 2 E Mc 3 Q Gt 4 R A Homeworklib
2

Q Tbn 3aand9gct Xbvptmzormdfoj81tfjdztxiobndwad8uq Usqp Cau

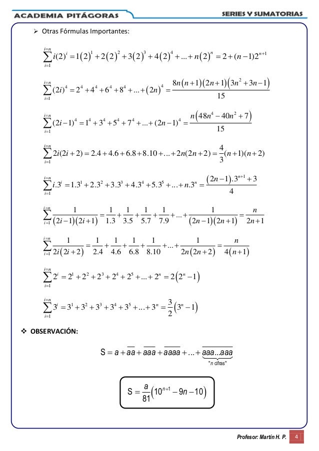
Series Y Sumatorias Completo
/calculate-a-sample-standard-deviation-3126345-v4-CS-01-5b76f58f46e0fb0050bb4ab2.png)
How To Calculate A Sample Standard Deviation
Perfect Number Wikipedia


Please Only Solve Question 5 And 6 Thank You Here Chegg Com

1234n Formula

Baby Squirrel Care Formula Feeding
2
2

Pdf 1 3dipolar Cycloaddition Of Cs2 To The Coordinated Azide In The Cyclopalladated Pd Bzan M N3 2 Crystal And Molecular Structure Of Di M N S 1 2 3 4 Thiatriazole 5thiolate Bis Benzylideneaniline C N Palladium Ii Adelino Vieira De Godoy Netto

Solved I Thought It Is Always 3 2 1 1 2 3 But There Is N Chegg Com

Math Mathtricks Physics Physics Formulas Math Methods Logic Math Studying Math

Preparation Of Certain Substituted 6br 10as 2 3 6b 7 8 9 10 10a Octahydro 1h Pyrido 3 4 4 5 Pyrrolo 1 2 3 De Quinoxalines And Pharmaceutically Acceptable Salts Thereof Us 10 221 176 B2 Patentswarm

Approximations For The Factorial Function

Ejercicios De Limites Indeterminacion 1 Elevado Infinito Matematica Ejercicios Formulas De Geometria Como Estudiar Matematicas
/what-is-the-rydberg-formula-604285_final-251d1441e24e44c88aab687409554ed4.png)
What Is The Rydberg Formula And How Does It Work
Pobmath1 Weebly Com Uploads 3 9 3 9 2 12 Guided Practice 1 Pdf

Epa1 Electroconductive Powder And Method For Production Thereof Google Patents

How To Find How Many Diagonals Are In A Polygon 11 Steps

How To Write Excel If Function Statements

Solved 7 Draw All The Alcohols Of Molecular Formula C4h10 Chegg Com

Which Of The Following Transitions In Hydrogen Atoms Emits The Ph

Mathematics Total Number Of Possible Functions Geeksforgeeks
1 2 3 4 Wikipedia
Factorial Wikipedia
Www Jstor Org Stable

Solved 2 12 Points Find A Formula For The N Term The Chegg Com

Solved For 𝑛 2 Let 𝑇𝑛 1 2 3 4 𝑛 We Consider Per Chegg Com

Landolt Bornstein Substance Property Index

Cube Numbers

Mathematics Total Number Of Possible Functions Geeksforgeeks

Algebra Formulas

Epb1 Oxazolo Pyridine Derivatives Process For Their Preparation And Pharmaceutical Compositions Containing Them Google Patents

Quimica Organica Nomenclatura Respuesta Ejercicios

Pdf On Structure Formulas For Wilson Polynomials

The Fibonacci Sequence Spirals And The Golden Mean

Ejercicios Con Resoluci N Ii Qu Mica Org Nica Gratis

Perfect Number Wikipedia

Warm Up For 2 4 Deductive Reasoning Ppt Video Online Download
Http Citeseerx Ist Psu Edu Viewdoc Download Doi 10 1 1 9 42 Rep Rep1 Type Pdf

Pdf Buryak Okounkov Formula For The N Point Function And A New Proof Of The Witten Conjecture

Pdf A New Formula For The N Th Prime Sebastian Ruiz Academia Edu

How To Find A Number Of Terms In An Arithmetic Sequence 3 Steps

File Radacinile Ecuatiei De Gradul 1 2 3 4 N Pdf Wikimedia Commons

Pdf Addressing Formulas For Central Triangular Matrices In 1d Arrays

Excel Formula Cell Contains Number Exceljet

Ejercicios Con Resoluci N Ii Qu Mica Org Nica Gratis

Rm Quinta Semana Youtube

Statistics Exercies Review Docsity

1 2 3 4 Wikipedia

Solved Strong Integral Test On Sequences And Harmonic Su Chegg Com

Solved Compute The Following Sums 1 3 5 7 Chegg Com
Gamma Function Wikipedia
Arxiv Org Pdf 1701 066

N 6 Amino 1 2 3 4 Tetrahydro 1 Methyl 2 4 Dioxo 5 Pyrimidinyl Formamide Sielc
Taylor Series Wikipedia

Solved Q3 25 Pt Dtfs Discrete Time Fourier Series An Chegg Com

Approximations For The Factorial Function

Amitrol 3 Amino 1 2 4 Triazole 3 At Herbicide Molecule Skeletal Formula Stock Photo Alamy

How To Find A Number Of Terms In An Arithmetic Sequence 3 Steps

Pdf Sums Of Powers Of Integers And Generalizations
What Is The Cf Of A Differential Equation D 4 1 Y 0 Quora

Series Y Sumatorias Formulas Metodos Y Ejemplos De Razonamiento Matematico Preuniversitario Y Secundaria Pdf

Ofloxacin Otic Solution 0 3 5 Ml And 10 Ml Rx Only
Sum Of N N Or N Brilliant Math Science Wiki

Arithmetic Sequences A Formula For The N Th Term Youtube

Usando Formulas Recursivas Para Sucesiones Geometricas Algebra I Khan Academy En Espanol Youtube

A Short Explanation Of Le Mystere D Urbicande Francois Schuiten Benoit Peeters

Excel If And Or Functions Explained My Online Training Hub
2

Ejercicios Con Resoluci N Ii Qu Mica Org Nica Gratis
Sequences Algebra All Content Math Khan Academy

Solved 11 1 A Write The Sigma Notation Formula For T Chegg Com

Resumen Psu Matematicas Completo Matematicas Formulas De Algebra

1 2 3 4 Wikipedia

Solved B 1 A Loan 2 Beginning Of Month Repayment 3 Intere Chegg Com

Formula Para Sumar N Numeros Youtube
Sum Of N N Or N Brilliant Math Science Wiki
Pascal S Triangle

Solved Use Newton Cote Formula A Use De Newton Cotes Wi Chegg Com

Epa1 3 4 Alkylenedioxythiophene Compounds And Polymers Thereof Google Patents

Us 09 A1 Synergistic Fungicidal Active Combinations The Lens Free Open Patent And Scholarly Search
Arxiv Org Pdf 0812 0540

Solved 6 Cardano S Formula Provides A Solution To The De Chegg Com
Geometric Sequences And Sums

Solutions To Homework Assignment 2
2

How To Find A Number Of Terms In An Arithmetic Sequence 3 Steps
Http Www Angelfire Com Ab7 Fourunit Wallis Dec07 Pdf

Ejercicios Quimica Organica Corzo
2

Midpoint Formula How To Find Midpoint Video Khan Academy

Notacion De Sumatoria Williams Moscozo

Finding The Slope Of A Line

Fibonacci Number Wikipedia

Asymptotic Formulae For N Th Perfect Power The Rafael Jakimczuk

Solved A B S De F 1 N 3 4 5 Furniture Type Name Quantity Chegg Com
Lucas Number Wikipedia